海安市人民政府办公室文件
海政办发〔2022〕 号
市政府办公室关于印发海安市“十四五”
生态建设与环境保护规划(2021-2025年)的通 知
各区管委会,各镇人民政府,各街道办事处,市政府各部门、各直属单位:
《海安市“十四五”生态建设与环境保护规划(2021-2025年)》经十六届人民政府第63次常务会议讨论同意,现予印发,请遵照执行。
海安市人民政府办公室
2022年5月 日
海安市“十四五”生态建设与环境保护规划(2021-2025年)
第一章 工作基础与面临形势
第一节 区域概况
一、自然概况
1.地理位置
海安市地处江苏省中南部,长江三角洲东北翼,市域地理坐标位于北纬32°32′至北纬32°43′,东经120°12′至120°53′之间。西接姜堰市,东临黄海,北接东台市,南与泰兴市、如皋市、如东县毗连,海安东西直线最长71.1千米,南北最宽39.35千米。海安市地理位置图见图1.1-1。

图1.1-1 海安市地理位置图
2.地形地貌
海安市是江积、河积、海积平原区,分别为古潟湖相沉积和黄泛冲积、海相沉积、长江冲积而成。地势低平,平原约占78.3%;水网密布,域内河道纵横、沟渠稠密、湖荡众多。海安地貌按成因、地理位置、成陆先后和地貌显示等可划分为里下河低浅洼圩田平原、长江三角洲微凹平原、三角洲平坦平原三个区域。域内各级河道、沟渠、池塘密布成水网,尤以西北部地区最为明显。
3.水文气候
海安属北亚 热带海洋季风性湿润气候区。气候温和,四季分明,气候宜人,冷热适中,日照 充足,雨水充沛,无霜期长。春季天气多变,夏天高温多雨,秋季天高气爽,冬天寒冷干燥。海安年平均气温15.3℃,1月最冷,平均1.7℃;七八月最热,平均27℃。海安年均降水1025毫米,79%的年份在800毫米以上。夏季降水最多,占全年的47%,冬季最少占9%。最长连续降水13天,降水279.5毫米,最长连续无降水日52天。
海安境内河流分属长江、淮河两大水系(见图1.1-2)。通扬运河以南属长江水系 ,以北属淮河水系 。海安境内一级河7条,分别为栟茶运河、焦港河、北凌河 、新通扬运河、通榆运河 、如海运河(引水工程)、通扬运河。通扬运河为汉代开凿,是市内最古老的河流。二级河38条,三级河332条,村级河1578条。东西向骨干河道有新老通扬运河、栟茶运河、北凌河;南北向骨干河道有串场运河、通榆运河、丁堡河、如海运河、焦港河、曲雅河;里下河地区 有串场河、海溱河、胡墩河、戚湾河、瓦南河、东塘河等大河。

图1.1-2 海安市水系图
二、社会经济概况
1.人口和行政区划
海安市总面积1180平方公里,下辖3区7镇7街,分别为:高新区、经济技术开发区、老坝港滨海新区、曲塘镇、李堡镇、大公镇、墩头镇、白甸镇、南莫镇、雅周镇、立发街道、洋蛮河街道、西场街道、海安街道、孙庄街道、胡集街道、隆政街道。
2020年,海安市年末户籍人口91.41万人,比上年末减0.75万人,较2015年减少2.6万人。2020年末,海安市城镇化率为64.70%,比上年提高0.4个百分点,比2015年提高9.37%。2015~2020年,海安市户籍总人口逐年降低(见图1.1-3),城镇化水平呈逐年上升趋势。
图1.1-3海安市年末户籍人口及城镇化水平变化情况
2.经济发展情况
海安市经济运行稳中有进、稳中向好。2015~2020年,海安市地区生产总值稳步增长(见图1.1-4),从2015年的692.57亿元增长至2020年的1221.63亿元,年均增速12.02%。人均GDP从2015年84649元增长至2020年的139273元,年均增速10.47%。受国内经济下行压力不断加大的影响,海安市地区生产总值增速趋缓,从2015年的9.9%下降至2020年的5.8%。2020年,海安市一二三产业增加值分别为71.90亿元、642.42亿元和507.31亿元,分别增长2.6%、6.2%和5.8%。“十三五”期间,海安市第一产业、第二产业产值占比总体为下降趋势(见图1.1-5),第三产业产值占比逐年增加,三次产业结构由2015年的7.4:54.5:38.1调整为2020年的5.9:52.6:41.5,工业、服务业共同驱动海安市经济发展的格局基本稳定。
图1.1-4海安市生产总值
图1.1-5海安市三次产业结构及变化情况
3.交通状况
海安交通十分便捷,是东部沿海重要的交通枢纽。水路:通扬、通榆、栟茶等三条运河畅流其间,沟通了长江、淮河两大水系。公路:江海高速、沿海高速两条高速公路穿境而过,204国道、328国道、202省道和海防公路贯穿海安全境,海安城乡公路纵横连网。铁路:新(江苏新沂)长(浙江长兴)铁路与宁(南京)启(启东)铁路在海安交汇。海安火车站集客运站、货运站、机务段、编组站于一体,是苏东地区最大的二级编组站。沪通铁路、沪崇启、沪崇海等多条越江通道正在建设中。海运:海安城区距国家十大港口之一南通港仅70公里,该港与日本、韩国、香港等国家和地区均有直通集装箱班轮;距崛起中的东方大港洋口港仅30公里。内陆支线与上海港联运,进出口货物均可由此接转世界各地航线。2020年,海安建成区道路面积共计631.36万平方米,公路总数2573公里,桥梁总数1836座。
三、主要资源状况
1、能源资源
2020年,海安市单位GDP能源消耗为0.2623吨标准煤/万元,较2019年下降0.0136吨标准煤/万元,降幅为5.45%;较2015年下降0.0828吨标准煤/万元。近年来,海安市单位GDP能耗处于逐年降低趋势,能源消费效率有所提高。
图1.1-6海安市单位GDP能耗及降幅变化
2.水资源
2020年海安市平均降水量为1197.9毫米,水资源总量为5.50亿立方米,其中地表水资源量4.86亿立方米,地表地下不重复计算量为0.64亿立方米。
“十三五”期间,海安市总用水量保持相对稳定。2020年海安市总用水量为5.00亿立方米,比2015年减少0.05亿立方米;万元GDP用水量47.5m³,较2015年降幅36.1%,万元工业增加值用水量4.466m³,较2015年降幅21.7%。
图1.1-7海安市总用水量变化情况
从用水结构来看,2020年海安市农业用水4.21亿立方米,占比84.20%,其中农田灌溉用水4.04亿立方米,林木渔畜用水0.18亿立方米;居民生活用水0.37亿立方米,占比7.40%;工业用水0.22亿立方米,占比4.40%;城镇公共用水量0.14亿立方米,占比2.80%;生态环境补水量0.06亿立方米,占比1.20%。
图1.1-8 2020年海安市各类用水占比
第二节 生态环境状况
一、生态环境质量现状
1、大气环境
“十三五”期间,海安市深入开展蓝天保卫战行动,坚持做好产业结构、运输机构、工业污染和扬尘污染防治工作,实现了环境质量的稳步改善。海安市空气质量优良天数比率逐年上升,2016~2020年,海安市空气质量优良天数比率分别为70.2%、71.8%、77.0%、77.8%、84.7%。
图1.2-1海安市空气质量优良天数比率变化情况
2020年,海安市二氧化硫年均值为10微克/立方米,二氧化氮年均值为23微克/立方米,PM10年均值为60微克/立方米,PM2.5年均值为35微克/立方米,一氧化碳日均值第95百分位数为1.2毫克/立方米,O3日最大8小时滑动平均值第90百分位数为159微克/立方米,自然降尘年均值为3.7吨/平方公里·月。二氧化硫年均值、二氧化氮年均值、PM10年均值、PM2.5年均值、一氧化碳日均值第95百分位数、O3日最大8小时滑动平均值第90百分位数均符合国家环境空气质量二级标准,自然降尘年均值符合地方参照标准。
2016~2020年,二氧化硫、二氧化氮、一氧化碳日均值第95百分位浓度、降尘(执行地方参照标准)均能稳定达到《环境空气质量标准》(GB3095-2012)二级标准及地方参照标准。PM10、PM2.5年均浓度逐年降低,其中,PM10于2018~2020年均稳定达到《环境空气质量标准》(GB3095-2012)二级标准;PM2.5逐年下降,2020年均达到《环境空气质量标准》(GB3095-2012)二级标准;2016~2018年、2020年O3日最大8小时滑动平均值第90百分位稳定在120微克/立方米左右,满足《环境空气质量标准》(GB3095-2012)二级标准,2019年O3日最大8小时滑动平均值第90百分位超标。


图1.2-2海安市大气污染物浓度变化情况
2.水环境
(1)总体情况
“十三五”期间,海安无国考断面,2020年,海安省考断面优Ⅲ比例为66.7%,与2015年持平,达标率为100%,较2015年上升33.3%;市考以上断面优Ⅲ比例为91.7%,较2015年上升75%,达标率为100%,较2015年上升66.7%,无劣Ⅴ类断面。2020年海安备用水源地为Ⅲ类,达标率为100%。2020年海安地下水环境质量下降,质量级别为较差(2015年为良好),潜水、承压水水质类别均为Ⅳ类(2015年均为Ⅲ类),污染指数分别为4.28、4.29,较2015年上升了94.55%、100.47%。
(2)地表水
“十三五”期间,海安无国考断面,3个省考断面,12个市考以上断面。2016~2018年,海安市地表水水质总体较差,省考断面中劣V类断面占比33.33%,2017年市考以上断面中劣V类断面占比41.67%。2019~2020年,海安市地表水水质全面提升,全面消除劣V类,省考断面优Ⅲ比例达到66.67%,2020年市考以上断面优Ⅲ比例达到91.67%,市考以上断面达标率为100%。
图1.2-3 “十三五”期间海安市省考断面水质变化情况
图1.2-4 “十三五”期间海安市市考以上断面水质变化情况
“十四五”期间,海安市共设置8个国省考断面,其中国考断面3个,从各断面2021年1月至9月的水质类别变化趋势看,除新南新线桥省考断面外,其他7个断面均不能稳定达标,其中3个国考断面不达标月份数量分别为4个、3个、6个,国考断面达标压力较大;省考断面不达标月份主要为7月、8月。从“十四五”国省考断面逐月水质数据看,主要超标因子为总磷,生化需氧量、化学需氧量等。


图1.2-5 2021年海安市“十四五”国省考断面水质变化趋势图
(3)饮用水
目前海安市长江引水工程已实现全部覆盖,原新通扬运河海安水厂取水口作为应急备用水源。根据2017-2020年度南通市生态环境状况公报,鹏鹞水厂2017~2020年连续四年水质符合《地表水环境质量标准》(GB3838-2002)中Ⅲ类标准,满足饮用水源地水质要求,水质达标率为100%。2020年,海安备用水源地水质符合《地表水环境质量标准》(GB3838-2002)中Ⅲ类标准,
2016~2019年海安市备用水源地水质类别为Ⅳ~Ⅴ类,主要污染物为总磷、化学需氧量、生化需氧量、高锰酸盐指数。2020年水质好转,达到Ⅲ类。
(4)地下水
“十三五”期间,海安市地下水质量呈下降趋势,其中,潜水水质由Ⅲ类降为Ⅳ类;承压水水质总体为下降趋势,2019年降为Ⅴ类,主要污染物为氨氮。从水质类别及污染指数看,海安市潜水水质总体优于承压水。
表1.2-1 海安市地下水水质统计表
年份 | 潜水 | 承压水 | ||||
类别 | 污染指数 | 质量级别 | 类别 | 污染指数 | 质量级别 | |
2015年 | Ⅲ | 2.2 | 良好 | Ⅲ | 2.14 | 良好 |
2016年 | Ⅲ | 2.14 | 良好 | Ⅲ | 2.15 | 良好 |
2017年 | Ⅲ | 2.26 | 良好 | Ⅳ | 4.67 | 较差 |
2018年 | Ⅳ | 3.09 | 较好 | Ⅳ | 3.12 | 较好 |
2019年 | Ⅳ | 2.43 | 良好 | Ⅴ | 6.53 | 较差 |
2020年 | Ⅳ | 4.28 | 较差 | Ⅳ | 4.29 | 较差 |
图1.2-6海安市地下水污染指数变化情况
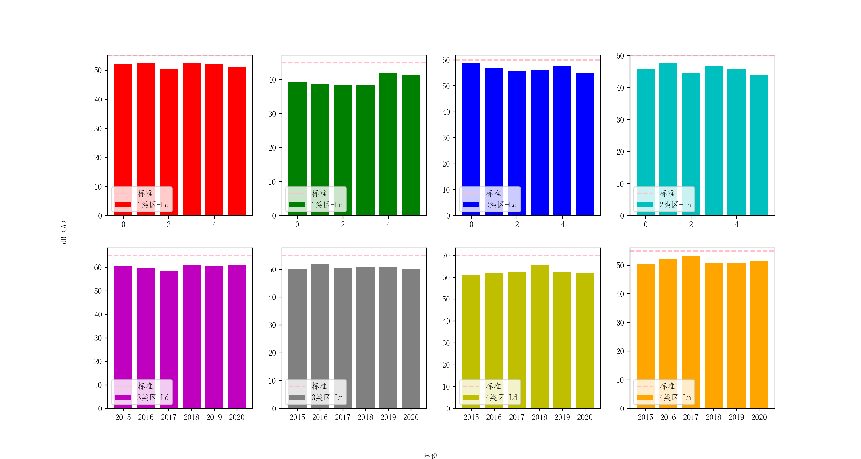
3.声环境
(1)声环境功能区
海安市2015~2020年声环境功能区噪声变化趋势见图1.2-7。各类声环境功能区昼间、夜间等效声级均满足《声环境质量标准》GB3096-2008中相应功能区标准。2015~2020年,海安市各声环境功能区的噪声声级保持相对稳定。
(2)道路交通声环境
海安镇道路交通噪声环境等效声级变化情况见图1.2-8。2015~2020年,海安镇道路噪声的声级满足《声环境质量标准》GB3096-2008 4a类声环境功能区昼间标准。从变化趋势看,2015~2020年道路噪声的声级平均分贝值总体呈上升趋势,道路交通声环境质量下降。
(3)区域声环境
海安镇区域环境噪声环境等效声级变化情况见图1.2-9。2015~2020年,海安镇区域声环境质量保持相对稳定。2018年区域声环境监测值为58.5dB,达到近五年的最大值;2017年、2020年监测值较小,分别为54.3dB、54.5dB;其它年份区域声环境监测值稳定在55.5dB左右。


图1.2-7海安市声环境功能区噪声变化情况
图1.2-8海安镇道路交通噪声环境等效声级变化情况
图1.2-9海安镇区域环境噪声环境等效声级变化情况
4.土壤环境
(1)工业用地
开展土壤污染状况详查工作,经场地环境初步调查,工业用地未发现污染地块,土壤环境质量总体保持稳定。
(2)农业用地
农业用地方面,全市共有受污染耕地586亩,其中,安全利用类耕地518亩,采取了种植低累积品种、水肥管理、叶面调控、原位钝化、秸秆离田等措施;严格管控类耕地68亩,采取了从农户手中以每年每亩800元流转土地,开展种植业结构调整。2020年底,各项措施全面落实,518亩安全利用类耕地安全利用措施全面落实,68亩严格管控类耕地全部进行了种植业结构调整,经第三方监测单位核算确认,全市受污染耕地安全利用率100%。
(3)重金属污染防治重点区域
2020年海安市开展了重金属污染防治重点区域土壤环境质量监测,监测点位位于海安市高新区拥徐村33组,该区域属于水旱轮作地。监测结果表明,2020年重金属污染防治重点区域土壤环境质量监测指标均低于《农用地土壤污染风险管控标准(试行)》(GB15618-2018)中农用地土壤污染风险筛选值的标准,土壤污染风险低。
“十三五”期间,海安市重金属污染防治重点区域土壤环境质量监测结果见表1.2-2,采用秩相关系数法对土壤环境质量监测指标进行趋势分析结果表明,2016~2020年重金属污染防治重点区域土壤污染指标呈不显著下降趋势。
表1.2-2 重金属污染防治重点区域土壤环境质量历年监测结果
区域 | 年份 | 监测结果(mg/kg) | ||||||||
pH | 隔 | 汞 | 砷 | 铅 | 铬 | 铜 | 锌 | 镍 | ||
海安市高新区拥徐村33组 | 2016 | 7.32 | 0.08 | 0.0985 | 6.82 | 30.2 | 83.2 | 15.7 | 70.0 | 39.3 |
2017 | 7.11 | 0.14 | 0.143 | 5.71 | 21.0 | 63.6 | 19.7 | 63.6 | 29.0 | |
2018 | 8.51 | 0.08 | 0.0571 | 3.42 | 18.9 | 77.2 | 12.8 | 46.8 | 33.5 | |
2019 | 7.31 | 0.10 | 0.0631 | 5.97 | 22.5 | 36.2 | 15.5 | 34.7 | 26.5 | |
2020 | 8.62 | 0.07 | 0.0550 | 4.68 | 8.6 | 67.6 | 16.1 | 46.7 | 29.6 | |
rs | - | -0.2 | -0.2 | -0.8 | -0.2 | -0.9 | -0.1 | -0.9 | -0.5 | |
趋势 | - | 下降 | 下降 | 下降 | 下降 | 下降 | 下降 | 下降 | 下降 | |
显著性 | - | 不显著 | 不显著 | 不显著 | 不显著 | 不显著 | 不显著 | 不显著 | 不显著 | |
(4)村庄土壤质量状况
为调查海安市农村村庄土壤环境质量,2016~2020年,每年均选取3个村、布设15个点进行土壤环境质量监测,监测结果表明,2016~2020年海安市农村村庄土壤环境质量监测点位均满足《土壤环境质量农用地土壤污染风险管控标准(试行)》(GB 15618-2018)中风险筛选值要求,达标率为100%,农村土壤环境质量较好,土壤污染风险低。
5.生态环境
(1)生态环境状况指数
生态环境状况指数(EI)反映市域生态环境状态,0为最差,100为最好,指标体系包括生物丰富度指数、植被覆盖指数、水网密度指数、土地退化指数、污染负荷指数及环境限制指数六个分指数。
2015~2020年,海安市生态环境状况指数≥55,评价结果为良,海安市植被覆盖度较高,生物多样性较丰富,适合人类生活,但生态环境状况指数整体呈下降趋势,从分指数变化趋势看,除污染负荷指数呈转好趋势外,其它分指数整体为变差趋势,其中水网密度指数下降明显。
图1.2-10海安市生态环境状况指数变化情况
表1.2-3 海安市生态环境状况指数及分指数统计表
年度 | 生物丰度 指数 | 植被覆盖 指数 | 水网密度 指数 | 土地退化 指数 | 污染负荷指数 | 生态环境状况指数 |
2015 | 29.89 | 86.33 | 82.19 | 6.52 | 1.62 | 68.23 |
2016 | 29.88 | 85.25 | 92.64 | 6.53 | 0.73 | 69.61 |
2017 | 29.86 | 87.60 | 73.47 | 6.56 | 0.48 | 67.34 |
2018 | 29.84 | 84.26 | 73.54 | 6.69 | 0.58 | 66.5 |
2019 | 29.84 | 84.26 | 73.54 | 6.69 | 0.58 | 66.5 |
2020 | 29.79 | 85.68 | 68.36 | 6.69 | 0.56 | 66.04 |
(2)生物监测
“十三五”期间,海安市对通扬河西楹桥断面开展了底栖动物、浮游动物、浮游植物监测,因西楹桥断面从2015年1月至2016年12月连续两年河道清淤,河床底泥清理力度较大,未检出底栖动物。2017年西楹桥断面共检出浮游动物轮虫类、枝角类、桡足类13属(种),分别占总量的72.5%、9.5%、18.0%,以轮虫动物(Rotifer)为主,无明显优势种群。Shannon-wiener多样性指数(H')为3.41,物种种类丰富,个体分布均匀,水体清洁,多样性指数级别为丰富。检出硅藻(Bacillariophyta)、绿藻(Chlorophyta)、黄藻(Xanthohyta)、裸藻(Euglenophyta)、蓝藻(Cyanophyta)、隐藻(Cryptophyta)6门共35 种,分别占总量的26.2%、23.3%、8.2%、8.3%、29.1%、4.9%,无优势种群。Shannon-wiener多样性指数(H')为5.02,物种丰富,个体分布均匀,水体清洁,多样性指数级别为丰富。
2018~2020年对北凌河北凌新闸断面开展了底栖动物、浮游生物、着生藻类监测(见表1.2-4),2020年北凌新闸断面底栖动物检出7种,多样性指数为2.25,级别为较丰富,与2018年、2019年相比,物钟丰度明显上升,水体污染程度由重污染降为轻污染。
表 1.2-4北凌新闸底栖动物监测结果与评价
断面 | 年份 | 种类数 | 丰度 (个/m2) | 多样性指数(H') | 级别 | 状态 | 水体污染 程度 |
北凌河北凌新闸 | 2018 | 3 | 376 | 0.96 | 贫乏 | 物种丰富度低,个体分布不均匀 | 重污染 |
2019 | 2 | 500 | 0.37 | 贫乏 | 物种丰富度低,个体分布不均匀 | 重污染 | |
2020 | 7 | 1141 | 2.25 | 较丰富 | 物种丰富度较高,个体分布比较均匀 | 轻污染 |
2018年北凌新闸断面检出浮游动物4种,以轮虫(Rotifer)为主,Shannon-wiener多样性指数(H')为1.78,多样性指数级别为一般,物种丰富度较低,个体分布比较均匀;检出浮游植物9种,Shannon-wiener多样性指数(H')3.0,多样性指数级别为较丰富,物种丰富度较高,个体分布比较均匀。
2020年北凌新闸断面检出硅藻(Bacillariophyta)、绿藻(Chlorophyta)、蓝藻(Cyanophyta)、裸藻(Euglenophyta)4门25种(属),分别占比82.6%、13.2%、4.1%、1.0%。Shannon-wiener多样性指数(H')为3.11,物种种类丰富,个体分布均匀,多样性指数级别为丰富。与2019年相比,检出的种类由21种升至25种,Shannon-wiener多样性指数(H')由2.05升至3.11,多样性指数级别由较丰富升至丰富,物种多样性明显改善。
根据《海安市生物多样性本底调查与编目工作报告》,海安市划分为11种生态系统,其中水生生态系统分为河流、湖泊、坑塘、滩地和水田。从空间分布情况来看,海安市水生生态系统以水田生态系统为主,面积813.48km2,占全市面积的69.18%;其次为河流,面积63.20km2,占5.38%;坑塘、滩地和湖泊分别占2.85%、0.31%和0.28%。
①水生动物
海安市境内主要湿地哺乳动物有黄鼬、草兔、河麝、豹猫等。沿海滩涂的越冬鸟类以雁鸭为主,此外还有丹顶鹤、灰鹤、黑嘴鸥等。主要湿地两栖、爬行动物主要有中华大蟾蜍、黑斑蛙、金线蛙、赤链蛇、短尾蝮蛇、红点锦蛇等。
海安市境内鱼类以鲤形目为主,占到该区域物种总数的53.70%,其中鲤科鱼类以鲤科鱼类为主占50%;其他各目共占46.3%,分别为鲈形目占24.07%、鲇形目占7.41%、鳉形目与鲱形目各占3.70%、其他4目均占1.85%。主要养殖鱼类:青鱼、草鱼、鲢鱼、鳙鱼、河豚、鳗鱼、刀鱼、弹涂鱼、大口黑鲈、团头鲂等。浮游动物共计31种,以轮虫为主。底栖动物主要集为环节动物,节肢动物和软体动物,共计7纲36种。
②水生植物
海安市境内水生植物种类主要有空心莲子草、槐叶萍、芦竹、芦苇、菹草、菖蒲、菱、枯草等。主要种植水生植物有荸荠、茨菇、河耦、水芹、茭白、菱等。
③浮游动植物
海安市境内浮游植物有8门42属61种,包括硅藻门11属22种,占全部种数的36.07%;绿藻门12属17种,占27.87%;裸藻门3属4种,占6.56%;蓝藻门9属11种,占18.03%;黄藻门、甲藻门和隐藻门各2属2种,均占3.28%;金藻门1属1种,占1.64%。
6、辐射环境
南通市海安生态环境监测站于2016年初陆续投入一定量经费用于提高辐射环境监测和辐射环境管理能力,对辖区内的放射性同位素、射线装置及电磁辐射设备开展了拉网式调查,查清了辐射污染源的数量。
据统计,“十三五”期间海安市使用密封型放射源的单位有16家,共有放射源63个,均用于工业生产,核素名称为Kr-85、Cs-137、Am-241、Sr-90。使用非密封型放射源单位为海安市人民医院,海安市非密封型放射源主要应用于核医学,核素名称I-131、I-125。射线装置主要包括工业探伤X线机、加速器、医用诊断X线机,海安市工业X线机使用单位有11家,33台探伤装置;医用加速器使用单位2家,加速器(Ⅱ类射线装置)2台;医用X线机使用单位67家,126台医用Ⅲ类射线装置。电磁辐射方面,截至2020年底,海安市有通信基站共135座。
二、主要污染物排放情况
1、大气污染物排放
(1)污染物排放总量
根据第二次污染源普查数据,海安市大气污染来源主要是工业源、生活源。其中,工业源排放对二氧化硫、氮氧化物、颗粒物和挥发性有机污染物的污染贡献占据主导地位,排放占比分别达到95.94%、87.95%、81.27%和94.58%;生活源污染排放对氮氧化物、颗粒物污染贡献相对较大,分别达到12.05%和18.73%。
图1.2-11 2017年主要大气污染物排放结构
从环境统计结果来看,近五年全市大气污染物排放总量呈逐年下降趋势,二氧化硫、氮氧化物分别较2015年下降了30.04%、36.1%。
图1.2-12海安市大气污染物排放情况
(2)工业大气污染排放情况
根据第二次污染源普查数据,海安市工业废气排放量123亿立方米,工业废气中主要污染物二氧化硫、氮氧化物、颗粒物、挥发性有机物排放量分别为0.25万吨、0.13万吨、0.21万吨、0.67万吨。
根据环统数据,2020年海安市共有锅炉55台、1110.2蒸吨;全市工业炉窑34座。“十三五”期间,海安市以燃煤为主,工业耗煤总量为311.11万吨,占能源消耗总量的61.9%。2020年海安市重点工业废气排放量227.1亿立方米,重点工业企业废气中主要污染物是二氧化硫、颗粒物、氮氧化物、挥发性有机物,排放量分别为317.3吨、305.4吨、513.5吨和1412.6吨。2020年海安市重点工业企业主要分布于25行业,其中电力、热力的生产和供应业大气污染物排放量占比62.2%,纺织业占比22.8%,水泥制造业占比2.9%,塑料制品业占比2.1%,化学原料及化学制品制造业占比2.0%,农副食品加工业占比1.9%,金属表面处理及热处理加工业占比0.2%,其他行业占比5.9%。
图1.2-13 2020年海安市主要行业大气污染物排放占比
根据环统数据,2016~2020年海安市工业废气排放总量呈上升趋势,四大污染物中,二氧化硫、氮氧化物排放量逐年降低,颗粒物、挥发性有机物波动变化。
图1.2-14海安市工业废气排放量变化
图1.2-15海安市工业废气污染物排放情况
(3)生活污染源排放情况
根据第二次污染源普查数据,海安市生活源废气主要包括非工业锅炉、城乡居民能源消费及其他环节产生的污染物,2017年海安市生活源二氧化硫排放量为103.9吨,氮氧化物排放量为179.26吨,颗粒物排放量为483.63吨,挥发性有机物排放量为213.27吨。生活源废气污染物中二氧化硫、氮氧化物、颗粒物的产生和排放均是以农村居民生活能源使用为主,挥发性有机物的产生和排放则是以其他城乡居民生活和第三产业为主。
(4)移动污染源排放情况
根据第二次污染源普查数据,海安市移动源及油品储运销环节挥发性有机物排放量为70.85吨,主要来源于56座加油站挥发排放。
根据环统数据,2016~2020年,海安市机动车保有量逐年增加,机动车废气总颗粒物、氮氧化物排放量、一氧化碳排放量、碳氢化合物排放量总体为下降趋势。
表1.2-4海安市机动车尾气及主要污染物排放情况统计表
年份 | 机动车保有量(万辆) | 废气总颗粒物排放量(万吨) | 氮氧化物排放量(万吨) | 一氧化碳排放量(万吨) | 碳氢化合物排放量(万吨) |
2016 | 16.34 | 0.031 | 0.352 | 2.042 | 0.253 |
2017 | 17.22 | 0.030 | 0.369 | 1.975 | 0.240 |
2018 | 17.88 | 0.028 | 0.362 | 1.900 | 0.229 |
2019 | 18.87 | 0.025 | 0.338 | 1.817 | 0.214 |
2020 | 20.89 | 0.025 | 0.327 | 1.903 | 0.220 |
2.水污染物排放
(1)水污染物排放总量
根据第二次全国污染源普查结果,2017年,海安市全年排放废水3741万立方米,化学需氧量排放总量2.85万吨,氨氮排放总量0.11万吨,总氮排放总量0.34万吨,总磷排放总量0.055万吨。
从污染物的排放量构成来看,全市废水污染物化学需氧量、氨氮、总氮、总磷排放量以农业源、生活源主,其中化学需氧量、总氮、总磷排放以农业源为主,占比分别为68.77%、59.82%、78.97%;氨氮排放以生活源为主,占比为64.32%;四大污染物工业源排放占比较小,占比分别为4.12%、11.56%、7.22%、7.00%。
图1.2-16海安市废水污染物排放量构成比例
从环境统计结果来看,近五年全市水污染物排放总量总体为下降趋势,COD、氨氮、总磷、总氮分别较2015年下降了12.68%、12.43%、13.41%、8.80%。
图1.2-17海安市水污染物排放情况
(2)工业污染源排放
根据第二次污染源普查数据,2017年海安市工业废水排放总量1870.73万吨,废水污染物化学需氧量、氨氮、总氮、总磷排放量分别为0.103万吨、0.0087万吨、0.0176万吨、0.0025万吨。
根据环统数据,2020年海安市重点工业废水排放总量为130040万吨;重点工业企业排放各类污染物总量为540.98吨,其中化学需氧量排放总量最大为452.91吨,占总量的83.7%,其它污染物年排放量达88.07吨,占总量的16.3%。2016~2020年海安市工业废水排放量保持相对稳定;污染物排放量逐年下降。从污染物排放的行业分布来看,工业废水中COD主要排污行业为纺织业、化学原料及化学制品制造业和农副食品加工业,氨氮主要排污行业为纺织业、化学原料及化学制品制造业。
图1.2-18海安市工业废水及主要污染物排放情况
(3)生活污染源排放
根据环统数据,“十三五”期间,海安市城镇生活污水主要污染物为化学需氧量、氨氮,据统计,“十三五”期间城镇生活污水排放量逐渐上升。生活污水主要污染物保持下降趋势。
图1.2-19 海安市生活污水量排放情况
图1.2-20海安市生活污水主要污染物排放情况
根据第二次污染源普查数据,海安市生活源废水主要包括城镇生活源废水和农村生活源废水。2017年,海安市生活源度废水排放量为2676.21万吨,城镇生活源污水排放量占比高达75.35%,远高于农村生活源;从污染物排放量看,生活源污染以农村生活源为主,农村生活源化学需氧量、氨氮、总氮、总磷排放量占比分别为61.77%、51.52%、51.36%、67.09%。
图1.2-21海安市生活源污染物排放量构成比例
(4)农业污染源排放
根据第二次污染源普查数据,2017年海安市各类农业源共43480个。其中,种植业规模种植主体数量1108个,规模畜禽养殖场1658个,规模以下畜禽养殖户36051个,规模水产养殖场1个,水产养殖户4662个。海安市农业废水污染源主要污染物为化学需氧量、氨氮、总氮、总磷,年排放量分别为1.71万吨、0.018万吨、0.146万吨和0.028万吨。
3.固体废弃物排放
(1)一般工业固体废物
“十三五”期间,海安市一般工业固体废物产生量保持先增后减趋势,2020年相对2017年的产生量减少了9.7%,海安经济技术开发区和海安高新技术产业开发区是海安市工业固废和危险废物的主要产生地。海安市一般工业固体废物以综合利用为主,2017~2020年,海安市一般固废综合利用率达到90%以上,2020年一般固废综合利用率为91.63%。
图1.2-22海安一般工业固体废物产生利用处置情况对比
(2)危险废物
“十三五”期间,海安市危险废物产生量总体呈上升趋势,危险废物处置能力同步亦明显上升,2020年相对2016年的危险废物产生量增加了0.58倍,处置量增加了0.90倍。在处理本年度一般固废产生量的基础上,一般固废库存量总体呈下降趋势,2020年度全市危险废物产生2.34万吨,转移处置2.35万吨,贮存0.16万吨,处置利用率100%。
图1.2-23海安危险废物产生利用处置情况对比
2020年,海安市参与统计的医疗单位73家,共产生医疗废弃物504.548吨。“十三五”期间,海安市共产生医疗废弃物2449.314吨,均送如东大恒危险废物处理有限公司统一处置,处置率达100%。
表1.2-5 2016~2020年海安市医疗废物处置情况表
年份 | 医疗单位 | 床位 | 产生量(t) | 处置量(t) | 处置方法 |
2016 | 59 | 4732 | 476.975 | 476.975 | 送如东大恒危险废物处理有限公司 |
2017 | 61 | 4879 | 492.746 | 492.746 | |
2018 | 61 | 4968 | 515.016 | 515.016 | |
2019 | 62 | 5147 | 460.029 | 460.029 | |
2020 | 73 | 5264 | 504.548 | 504.548 | |
合计 | 2449.314 | 2449.314 | |||
(3)生活垃圾
2020年,海安市生活垃圾产生30万吨,全市共建成垃圾压缩中转站22座,并正常运行,年压缩生活垃圾16.5万吨,压缩后的垃圾送往海安天楹环保能源有限公司进行焚烧处置,无害化处理率为100%。“十三五”期间,海安市城乡生活垃圾、城区生活垃圾、农村生活垃圾产生量总体呈增长趋势,2020年,海安市城区生活垃圾、农村生活垃圾产生量分别为12.71万吨、17.29万吨。海安市生活垃圾采用焚烧方式处理,城乡生活垃圾无害化处理率均为100%。
图1.2-24海安生活垃圾产业量逐年变化情况
三、生态环境治理能力状况
1.污染治理能力
(1)城乡污水收集处理能力
城镇污水处理设施及管网:截至2020年底,海安市污水管网总长约454.75公里,其中城市228.75公里,建制镇建成226公里。海安市城镇污水处理厂9座,设计规模8.35万吨/日(实际处理量5.973万吨/日),结合地貌、水系条件对7座城镇生活污水处理厂因地制宜建设尾水生态湿地系统,将污水处理厂尾水由一级A标准提升至地表水Ⅳ类水标准,尾水湿地面积为23700平方米。推进城镇污水收集管网建设与改造,实施老旧小区雨污分流改造92个,海安市城镇污水处理率不断提升,2020年,城镇污水集中处理率93.8%,基本消除城市黑臭水体。
表1.2-6 海安市城镇生活污水厂信息统计表
序号 | 污水厂名称 | 所属镇区 | 工艺 | 排放标准 | 尾水排放河道 | 设计规模(万吨/天) | 实际日处理量(万吨/天) | 尾水湿地面积(m2) |
1 | 海安恒发污水处理有限公司 | 高新区 | CASS | Ⅳ类 | 栟茶河 | 4 | 3.57 | 湿地在河道中,面积暂未统计 |
2 | 海安李堡滇池水务有限公司 | 李堡镇 | A/A/O | Ⅳ类 | 北凌河 | 0.5 | 0.36 | 5500 |
3 | 海安曲塘滇池水务有限公司 | 曲塘镇 | A/A/O | Ⅳ类 | 通扬河 | 0.5 | 0.39 | 7200 |
4 | 海安市水务集团城市污水处理有限公司 | 开发区 | A/A/O | 一级A | 北凌河 | 2.5 | 1.11 | 建设中 |
5 | 海安市水务集团角斜镇污水处理厂 | 角斜镇 | MBR | Ⅳ类 | 北凌河 | 0.1 | 0.09 | 3500 |
6 | 海安市水务集团孙庄污水处理厂 | 高新区 | A/A/O | Ⅳ类 | 焦港河 | 0.1 | 0.06 | 3200 |
7 | 海安市水务集团墩头镇污水处理厂 | 墩头镇 | A/A/O | Ⅳ类 | 胡墩河 | 0.1 | 0.06 | 3300 |
8 | 上海电气南通国海水处理有限公司 | 滨海新区 | A/A/O | 一级A | 定海河 | 0.5 | 0.3 | 未建设 |
9 | 海安市水务集团白甸污水处理厂 | 白甸镇 | A/A/O | Ⅳ类 | 白姚河 | 0.05 | 0.035 | 1000 |
农村污水处置设施:截至2020年底,已建污水处理设施(或接管模式)的村庄210个,自然村治理325个,农户已治理数47473户,行政村覆盖率达到100%,自然村覆盖率51.1%,农户覆盖率19.07%。全市已建设施209个,其中分散式处置设施(20吨/日以下)100处,集中式处置设施(20吨/日及以上)109处。
(2)工业废水集中处置能力
海安市工业污水处理厂4座,设计规模7.8万吨/日(实际处理量6.44万吨/日),结合地貌、水系条件对3座城镇生活污水处理厂因地制宜建设尾水生态湿地系统,将污水处理厂尾水由一级A标准提升至地表水Ⅳ类水标准,尾水湿地面积为59500平方米。
海安市共2家省级及以上工业园区,分别为海安经济技术开发区和江苏省海安高新技术产业开发区,均自建工业污水集中处理设施。海安经济技术开发区累计建成污水管网350公里,累计建成泵站17座,已实现批复范围内园区污水管网全覆盖,园区涉水企业共140家均已截污纳管,纳管企业中,建成污水预处理设施15家,比例为10.7%。开发区污水接管3家污水集中处理设施,总处理能力5.8万吨/日,分别为海安恒泽水务有限公司(处理能力0.8万吨/日,“十四五”期间改为提升泵站)、南通常安水务有限公司(处理能力3万吨/日);江苏联发新能源有限公司污水处理厂(处理能力2万吨/日)。江苏省海安高新技术产业开发区累计建成污水管网130公里,累计建成泵站1座,已实现批复范围内园区污水管网全覆盖,高新区内已纳管企业工业废水接管鹰泰水务海安有限公司(处理能力2万吨/日),未纳管企业均按照环评和排污许可等规定自行处理后达标排放或回用。
表1.2-7 海安市工业污水厂信息统计表
序号 | 污水厂 名称 | 所属镇区 | 工艺 | 排放标准 | 尾水排放河道 | 设计规模(万吨/天) | 实际日处理量(万吨/天) | 尾水湿地面积(m2) |
1 | 海安恒泽水务有限公司 | 开 发 区 | 水解调节+强化初沉+交替生化 | Ⅳ类 | 通扬河 | 0.8 | 0.46 | 3500 |
2 | 南通常安水务有限公司 | 开 发 区 | 调节-初沉-水解-A/O-沉淀-过滤-臭氧氧化-生物炭池-出水 | Ⅳ类 | 北凌河 | 3 | 2.2 | 35000 |
3 | 江苏联发环保新能源有限公司 | 开 发 区 | 臭氧氧化+曝气生物滤池+滤布滤池 | 一级A | 栟茶河 | 2 | 1.8 | 未建设 |
4 | 鹰泰水务海安有限公司 | 高 新 区 | 厌氧水解+延时曝气 | Ⅳ类 | 栟茶河 | 2 | 1.98 | 21000 |
(3)工业固废处置利用能力
一般工业固废处置能力:2020年,海安市一般工业固体废物处置或综合利用单位6家,一般工业固废综合利用能力71万吨/年,一般工业固废处置能力4.44万吨/年。
危险废物处置能力:海安共有危险废物经营单位7家,上海电气南通国海环保科技有限公司2018年底投产,焚烧处理能力1万吨/年、填埋1.3万吨/年;海安中楹等离子体科技有限公司2021年取得危险废物经营许可证,处置生活垃圾焚烧飞灰13320吨/年;海安乾鼎物资回收有限公司等3家为2020年新建成的收集废铅酸蓄电池的单位,基本形成废铅酸蓄电池收集体系;蔚蓝环保为海安市第一家危废集中收集贮存试点。
医疗废物处置能力:海安辖区内暂无医疗废物集中处置单位,海安市内所有医疗废物均由如东东江环保有限公司(即原如东大恒危险废物处理有限公司)至医废暂存地单位集中收运处置,其医疗废物高清蒸煮生产线生产能力5吨/天。
2.监测监控能力
(1)环境质量自动监控能力
“十三五”期间,海安市不断加强大气自动监测网络建设,提升预警预报能力,通过两级大气自动监测网络建设,提升了预警能力,从时间、空间、污染物种类等维度提供多种污染特征分析功能。环境质量自动监测网络基本覆盖各重点领域,围绕2个省控大气自动测点1公里直径范围内呈“米”字型八个方位各建一个空气微型监测站点,建成10个区镇大气自动站以及省控大气自动站周边的16个微型站。完善地表水质环境自动监测网络,预警能力显著提升,全市建有23个水质自动监测站,基本覆盖国控、省控、市控等主要断面;建成1个固定式机动车尾气遥感监控设施,实施秋冬季日常走航监测,开展机动车遥感监测。
(2)污染源监控网络初步建成
污染源监控网络初步建成,2020年,应当实施自动监控联网的65家重点排污单位、应当实施在线监控联网的102家许可证重点管理单位、符合自动监控联网条件的8家挥发性有机物重点管理单位均已全部完成联网工作,联网率达100%。202家企业用电监控设备的安装与联网到位。完成自动监控平台系统及模块升级,增加了扬尘、VOCs及短信报警模块,优化了各类自动监控智慧功能,接入废水监测点共计131个,涉及行业主要为污水处理、纺织印染、化工、电镀等。接入废气监测点96个,涉及行业主要为垃圾焚烧、热电、化工、再生铝等以及生物质锅炉企业。在开发区、高新区工业企业集聚地各建设1个空气自动站,在常安纺织园等3个主要园区的上下风向各建设1个园区环境空气VOCs自动监测站,实现一体化“绿色园区”云平台监测监控信息集成,为强化环境管理提供了有效的技术支撑。
3.执法监管能力
“十三五”期间,海安生态环境综合行政执法局不断强化环境执法队伍建设,执法力量进一步增强。2020年,根据南通市生态环境局统一要求,与南通市海安生态环境局实行“局队合一”,下辖综合执法科、环境信访调处科、生态环境应急科及5个生态环境综合执法局。强化环境监管工作,成立5个执法分局,负责区镇环境监管工作;强化环境应急处置工作,修订完善环境突发事件应急预案,积极组织开展应急演练,建立健全环境突发事件应急处置领导组、现场处置组、现场监测组、专家组、后勤保障组,配备了基本的应急处置装备,建立环境应急物资储备分布网络。海安市重拳打击生态环境违法行为,随着进一步优化营商环境,轻微违法行为免予处罚以及南通市自由裁量积极整改公开致歉减轻处罚情节的适用,行政处罚执行率呈现逐年上升的趋势。至2020年底,行政处罚案件执行率为54.54%,罚款到账率为43.63%。“十三五”期间,南通市海安生态环境局共立案调查586件,共开展64次“双随机”执法检查,共检查污染源企业1130家,共制发《责令改正违法行为决定书》382份,《环境监察意见书》539份,《行政指导意见书》471份。2019年出台《环境执法联动工作意见》《环境资源执法司法联动工作实施办法》,对典型违法违规、屡查屡犯单位和个人严肃处理,21人被追究刑事责任。《污染防治在攻坚·263在行动》专栏共曝光50期162个典型环境问题,均已整改到位。加强重污染天气防范应对,共实施25轮O3、重污染天气应急管控;2016年以来,共调处各类信访18506件,处置率100%,信访总量、南通市级以上越级信访量实现“双下降”。
第三节 “十三五”生态环境保护工作回顾
一、原规划主要任务工作成效
“十三五”以来,海安市委、市政府认真贯彻落实党的十九大精神和习近平生态文明思想,全市上下牢固树立“绿水青山就是金山银山”的发展理念,把加强生态文明建设、打好污染防治攻坚战作为美丽海安建设和高质量发展走在前列的重要内容,在经济实力大幅提升的同时,系统推进生态文明体制改革,圆满完成污染防治攻坚战阶段性目标任务,全市生态环境质量明显改善,生态文明建设取得显著成效,人民群众的生态环境获得感、幸福感、安全感日益增强,为全面开启建设社会主义现代化征程奠定坚实基础。
1.污染防治攻坚深入实施,生态环境质量明显改善
系统推进水环境整治。强化河长、断面长、湾(滩)长职责,以科学治污、精准治污、全民治污为路径,以雨水排口(城镇建成区雨水排口、企业雨水排口)、入河入海排口、农田退水口为重点,坚持标本兼治,引进第三方对重点河道重点断面实施污染源日常巡查,促进水环境质量长期稳定达标。通过加强城镇生活污水收集处理、实施工业点源污染防治、开展重点河道污染源摸排及河道综合整治、推进生态安全缓冲区建设、开展专项整治行动、实施区镇间水环境区域生态补偿、强化长效管护等措施,“十三五”期间,海安市水环境质量大幅提升。2020年,国控北凌新闸断面水质为Ⅳ类,与上年同期持平,3个省考断面水质优Ⅲ比例为66.7%,同比持平,达标率为100%,13个市考以上断面水质优Ⅲ比例为91.7%,同比上升25个百分点,达标率为100%。
深入开展蓝天保卫战行动。印发《海安市环境空气质量管理办法》,建立点位长制,由党委、政府主要负责人担任点位长。推动实施大气污染防治重点工程项目数量常年位居南通首位,有效推动了大气污染物减排。紧盯海安特色产业集群,推动机械、家具行业颗粒物、挥发性有机物专项治理,深入重点区域治理,将省控站点周边涉气污染源排查范围由3公里扩大至5公里,做到“一源一清单”。争创“五个率先”,在南通率先发布《扩大禁止使用高排放非道路移动机械区域的通告》、率先实行空气质量日通报制度、率先建立执行点位长办公室实体化运作机制、率先实行环境空气质量生态补偿办法、率先完成在省控站点周边微站建设并投入使用,通过狠抓秸秆双禁工作、深化治理工业大气污染、实施扬尘污染治理、健全监控监测体系等措施,全市空气环境质量大幅改善。2020年,海安市PM2.5平均浓度为35微克/立方米,PM10平均浓度为60微克/立方米,O3平均浓度为159微克/立方米。2020年海安市优级天数为108天,比上年增加8天,为历年最多,良级天数为201天,比上年增加17天,优良天气占比为87.7%,比上年增加了6.9%,轻度污染天数为43天,比上年减少16天,中度污染天数为10天,比上年减少12天。
土壤污染防治有序推进。印发《海安县2017年土壤污染防治工作计划》,全面启动土壤污染防治。完成土壤污染问题突出区域排查、土壤污染重点行业企业筛选及空间位置遥感核实。开展土壤污染状况详查工作,经场地环境初步调查,工业用地未发现污染地块,土壤环境质量总体保持稳定。完成海安市农用地土壤污染状况详查工作,建立建设用地调查评估制度,全市共有受污染耕地586亩,其中,安全利用类耕地518亩,严格管控类耕地68亩,全市受污染耕地安全利用率为100%。
2.环境治理能力持续增强,人居环境质量大幅提升
加强城镇生活污水收集处理。新建污水主管网215公里,新建农村分散型生活污水处理设施121座,完成8家污水处理厂提标改造及13座乡镇污水处理设施整改,2020年城镇污水处理率为93.8%,基本消除城市黑臭水体。开展生态安全缓冲区建设,在全市10个污水处理厂尾水出口率先建设生态安全缓冲区,将污水处理厂尾水主要指标提升至地表水准IV类。开展河道综合整治,启动通榆河向北凌河的生态补水工程,高标准建设新通扬运河、串场河、立公河、春风河等重要河道绿化样板示范河道,2018年以来,打造生态样本河道370条。
全面实施工业炉窑整治。推进燃煤锅炉改造,完成全市421台20蒸吨/小时以下的燃煤锅炉淘汰工作。精准治理有机废气,开展常安纺织科技园纺织企业废气整改提升工作,加强工业企业VOCs无组织排放管理,统筹开展餐饮油烟等生活源VOCs治理,积极推动“绿岛”项目建设,建成滨海新区家具产业园集中喷涂中心,形成15万件/年家具喷涂能力,通过集中喷涂每年可减少VOC排放量约20吨。实施扬尘污染治理,城区机扫率、洒水率达到92%以上,发展绿色交通,在出租、公交、环卫等公共服务领域率先推广使用新能源汽车。
持续推进固废处置能力建设。建成常安纺织园危废集中暂存中心,依托江苏天楹全自主研发的等离子体和气化熔融炉,开展处理能力2吨/天的等离子体医疗废物处理。2020年,全市一般工业固体废物综合利用率为99.86%,危险废物处置利用率为100%。建成生活垃圾、建筑垃圾、装修垃圾、餐厨废弃物、畜禽粪便、大件垃圾破碎、可回收物分拣、飞灰等离子体熔融等处置终端,城市生活垃圾分类覆盖率达100%,全市建筑垃圾资源化利用率达98%。餐厨废弃物综合利用管理日趋完善,主城区餐厨废弃物规范收运处置覆盖率达90%,城区生活垃圾收集清运覆盖率和无害化、资源化处置率达100%。
加强畜禽养殖污染整治。畜禽规模养殖场污染治理率达100%,规模养殖场粪便处理设施配套率为100%,大力培育畜禽粪便综合利用项目,畜禽粪便综合利用率93%以上。推进化肥农药减量增效,进一步建立完善科学施肥管理和技术体系,小麦、水稻等主要作物测土配方施肥技术覆盖率达90%以上,推进秸秆就地还田,促进畜禽粪便资源化利用,海安市施用有机肥的农田达80%以上,“十三五”末化肥总用量比2015年削减5.3%。加强废旧农膜回收利用,2020年全市废旧农膜回收利用为96.23%,大力提升秸秆综合利用率,2020年秸秆利用率达95.99%。
扎实推进农村环境综合整治。全面完成农村垃圾分类基础设施建设,农村生活垃圾收集覆盖率、无害化处置率达到100%。农村改厕工作取得明显成效,截止2020年,农村无害化厕所普及率达99.6%。河道管护工作继续深化,建设农村生态河道18条,整治农村河道、沟塘黑臭水体61条,疏浚河道108条,农村环境日常保洁全面铺开,逐步构建“政府负责监管、企业提供服务”的保洁新机制,形成“区镇-公司”新格局。
3.产业结构转型持续推进,绿色发展取得扎实成效
持续推进产业结构调整。深化供给侧结构性改革,引导退出低端低效产能,持续深入推进“263”减化、“三行业”整治和化工企业“四个一批”专项行动、化工产业安全环保整治提升工作,78家化工企业中,62家关闭退出,现存的16家化工企业污染防治设施装备及工艺水平均有较大幅度的提档升级,企业生态环境保护理念显著增强。关停取缔家具企业222家,整治提升203家,5家印染企业的63台落后设备全部淘汰通过验收,折合淘汰落后产能4000万米以上。
积极开展循环化改造。开展开发区和高新区园区循环化改造工作,循环经济体系初步形成,两区的园区循环化改造工作已通过南通市市级示范试点验收。绿色制造体系建设初有成效,联发纺织、万淇生物、鑫缘茧丝绸3家企业(产品)入选工信部第四批绿色制造名单,天楹环保、双弘纺织入选省工信厅第一批绿色工厂名单,38家企业通过清洁生产验收,78家企业完成清洁原料替代工作,“十三五”以来,实施节能与循环经济项目101项,组织申报省产业转型升级绿色发展项目9个,获省专项引导资金655万元。
有效增强节能管控力度。“十三五”期间,海安市单位GDP能耗累计下降24.4%,超额完成下降17%的目标任务;能源消费增量23.29万吨标煤,控制在23.4万吨标煤增量目标内。能源结构不断优化,完成全市421台20蒸吨/小时以下的燃煤锅炉和美亚热电3台75蒸吨/小时锅炉淘汰工作,煤炭消费量较“十二五”削减51万吨。大力发展清洁能源,建成海安理昂生物发电项目、龙源蒋家沙海上风电项目、渔光互补光伏发电项目等,推动能源结构由单一煤电向风电、光伏、生物质发电方向发展,不断提高清洁能源的使用比例。坚定不移抓项目促发展,抓产业促转型,抓企业促提升,不断推动全市制造业高质量发展,高新技术产业和新兴产业产值占规上工业比重分别达34.9%和46.1%。推动5家“百千万”重点用能单位安装能耗在线监测系统,完成能耗“双控”考核,开展11家企业节能诊断服务,推进节能精细化管理。坚持节约优先,以提高能源利用效率为核心,积极构建资源节约型、环境友好型交通行业,海安市新能源公交车比重达到62.6%。推进靠港船舶依规优先使用岸电,2020年度岸电使用电量超2万度,较2019年提升3倍。推广应用节能新产品新技术,推进照明系统、制冷与供暖系统、食堂燃气灶具节能改造和既有办公建筑节能改造等节能工程,海安市共创成全国节约型公共机构示范单位3家,省公共机构节能示范单位9家。
4.生态保护空间持续优化,生态文明建设强力推进
绿色空间格局持续优化。海安市共252.14平方公里纳入生态红线、生态空间管控区保护,有力保障了生态系统功能。完成城区10个园林绿化工程、9个口袋公园、1个街头绿地停车场建设,新增绿化面积21.94公顷,开发区、高新区新增公园绿地9.78公顷。加快推进美丽宜居乡村建设,全市所有行政村均在打造人居环境示范点,开发区将大西线、成壮线沿线12个村人居示范点串点成线、连线成带,建成高规格的人居环境示范带。曲塘镇形成南、北两条人居环境精品示范循环线路。南莫镇围绕曲白线和353省道沿线村,打造“一路一带”和“一带一景”。墩头镇禾庄村、曲塘镇周桥村入选南通市人居环境整治优秀案例汇编。截止2020年底,建成区绿化覆盖面积1398.64公顷,绿化覆盖率约为41.71%,人均公园绿地面积14.25平方米,基本建成“10分钟绿地休闲圈”。加强湿地保护修复,加强辖区内湿地总量管控和用途管制,全市自然湿地保护率达52%以上。
生态文明建设成效显著。制定了“提升生态保护水平”专项行动实施方案和工作计划,颁布实施《深入推进生态文明建设努力建设天蓝地绿水清新海安》议案。制定《海安县生态环境保护工作责任规定》,构建生态环境领域“党政同责、一岗双责、失职追责”和“管行业必须管环保”的责任体系。“十三五”以来,创建省生态文明示范镇9个、村11个,创建江苏省级绿色学校1个,南通市级绿色学校6个,海安市级绿色学校13个。调整优化生态文明建设考核办法,生态文明建设占机关部门目标绩效考核分值比例大幅度提高,针对区镇设立了“生态文明建设杯”考核,将环境治理、环境基础设施建设、突出环境问题交办等纳入考核内容。
5.环境监管体系日趋完善,环境安全得到有效防控
严格环境风险监管。以突发环境事件应急预案体系建设为抓手,以环境安全执法检查为手段,督促环境风险源企业不断强化环境安全主体责任意识,不断提高环境应急管理水平,有效提升企业环境风险防范能力,健全海安市重点环境风险防范长效工作机制,牢筑生态环境安全底线。印发实施《海安市生态环境和应急管理部门联动工作方案》《海安市突发环境事件应急预案》,致力于环境隐患、安全生产排查,以“风险隐患整治、应急能力提升”为核心,不断加强环境风险企业达标建设。开展重点危险废物产生单位和经营单位全面检查,专题培训危险废物管理法律法规,开展“双随机”执法检查和专项执法检查相结合,将危险废物安全生产检查常态化,确保危险废物管理有序、处置规范,保障环境安全。
积极推进生态环境保护制度改革。实施“三线一单”划定和规划环评编制,十个区镇均启动工业园区规划环评编制工作,引导各区镇在经济发展过程中进一步优化能源结构、合理规划产业布局,促进经济、社会和环境的全面协调可持续发展。创新生态文明建设工作机制,成立11个生态文明建设专业委员会,由相应市分管负责人担任专委会主任。
二、原规划指标及项目完成情况
《海安县“十三五”生态建设与环境保护规划》从环境质量、污染防治、生态建设、环境管理等4个方面设置了40项指标,截止2020年底,共完成指标31个,未完成指标8个,2个指标县级层面未统计(具体见表1)。未完成的指标包括:工业固体废物综合利用率、工业用水重复利用率、城镇生活污水集中处理率、NOx排放强度、单位GDP能耗、秸秆综合利用率、森林覆盖率、生态红线护区面积占国土面积的比例。2020年工业固体废物综合利用率、工业用水重复利用率分别为91.63%、75.4%,与原规划目标(98%、85%)仍有较大差距;城镇生活污水集中处理率、森林覆盖率两个指标因统计口径不一致而未实现原规划目标;NOx排放强度、秸秆综合利用率有所改善,但与原规划的目标仍有差距;单位GDP能耗、生态红线护区面积占国土面积的比例因2014年的现状值计算有误而为实现原规划目标,经复核,2014年的单位GDP能耗指标应为0.4846t标准煤/万元,2020年单位GDP能耗指标为0.2623t标准煤/万元,下降了45.87%;2014年海安市生态红线面积为237.02平方公里,生态红线护区面积占国土面积的比例应为20.04%,2020年海安生态红线面积是252.14(包含老坝港),占比为21.31%,较2014年实际值增加了1.27%。“十三五”期间,全市实施的七类重点工程,共26个重点项目(附表1),完成25个,1个在建项目已列入“十四五”重点项目中,计划2021年完成。“十三五”期间重点项目完成率为96.15%。
表1.3-1海安市“十三五”生态环境保护规划指标体系
一级 指标 | 二级 指标 | 序号 | 具体指标(单位) | 现状值(2014年) | 规划值(2020年) | 2020年现状 | 完成 情况 | 备注 |
环境质量指标 | 水环境质量 | 1 | 城市备用水源水质达标率(%) | 100 | 100 | 100 | 完成 | / |
2 | 地表水功能区水质达标率(%) | 100 | 100 | 100 | 完成 | / | ||
大气环境质量 | 3 | 空气优良天数(天) | 264 | ≥280 | 309 | 完成 | / | |
声环境质量 | 4 | 城市区域环境噪声(dB) | 54.3(昼) | <60/50 | 54.5 | 完成 | / | |
5 | 城市道路交通噪声(dB) | 64.2(昼) | <70/55 | 64.1 | 完成 | / | ||
综合 质量 | 6 | 小康社会环境质量综合指数 | 91.7 | >93 | 95.4 | 完成 | / | |
放射性质量 | 7 | 天然本底涨落范围之内 | 辐射剂量率均在正常范围之内 | 完成 | / | |||
污染防治指标 | 总量 控制 | 8 | COD(t/a) | 38711.96 | 达上级要求 | 达到上级要求 | 完成 | / |
9 | 氨氮(t/a) | 5244.46 | 达上级要求 | 达到上级要求 | 完成 | / | ||
10 | NOx(t/a) | 6558.92 | 达上级要求 | 达到上级要求 | 完成 | / | ||
11 | SO2(t/a) | 3113.23 | 达上级要求 | 达到上级要求 | 完成 | / | ||
污染防治指标 | 水环境污染物控制 | 12 | COD排放强度(kg/万元GDP) | 6.2 | <3.0 | 1.303 | 完成 | / |
13 | 氨氮排放强度(kg/万元GDP) | 0.84 | <0.4 | 0.165 | 完成 | / | ||
14 | 工业废水排放达标率(%) | 100 | 100 | 100 | 完成 | / | ||
15 | 工业用水重复利用率(%) | 79 | 85 | 75.4 | 未完成 | |||
16 | 农田灌溉水有效利用系数 | 0.53 | 0.55 | 0.6443 | 完成 | / | ||
17 | 城镇生活污水集中处理率(%) | 100 | 100 | 91.3 | 未完成 | 统计口径不一致 | ||
大气环境污染物控制 | 18 | SO2排放强度(kg/万元GDP) | 1.05 | <0.5 | 0.264 | 完成 | / | |
19 | NOx排放强度(kg/万元GDP) | 0.5 | <0.2 | 0.309 | 未完成 | 指标改善,但仍有差距 | ||
20 | 单位GDP能耗(t标准煤/万元) | 0.19 | <0.09 | 0.2623 | 未完成 | 2014年应为0.4846 | ||
固体废物污染物控制 | 21 | 工业固体废物综合利用率(%) | 95.96 | >98 | 91.63 | 未完成 | / | |
22 | 工业危险废物安全处置率(%) | 100 | 100 | 100 | 完成 | / | ||
23 | 重点企业污泥无害化处置率(%) | 94 | 100 | 100 | 完成 | / | ||
24 | 工业固体废弃物资源化率(%) | 86 | 100 | 100 | 完成 | / | ||
25 | 城镇生活垃圾无害化处置率(%) | 100 | 100 | 100 | 完成 | / | ||
26 | 规模化养殖场畜禽粪便处理率(%) | 90 | ≥95 | >95 | 完成 | / | ||
27 | 秸秆综合利用率(%) | 95.3 | ≥99 | 95.9 | 未完成 | 指标改善,但仍有差距 | ||
28 | 医疗废物集中处置率(%) | 100 | 100 | 100 | 完成 | / | ||
生态建设指标 | 生态环境建设 | 29 | 森林覆盖率(%) | 23.9 | 24 | 20.35 | 未完成 | 统计口径不一致 |
30 | 生态红线护区面积占国土面积的比例(%) | 21.73 | ≥21.73 | 21.3 | 未完成 | 2014年应为20.04 | ||
生态人居建设 | 31 | 建成区人均公共绿地面积(m2) | 11.81 | ≥12 | 14.56 | 完成 | / | |
32 | 新建绿色建筑比例(%) | 40 | 75 | 100 | 完成 | / | ||
生态建设指标 | 生态制度建设 | 33 | 生态环保投资占GDP比例(%) | 3.75 | ≥5 | 未统计 | / | 县级层面未统计 |
34 | 环境信息公开率(%) | 100 | 100 | 100 | 完成 | / | ||
35 | 环境保护宣传教育普及率(%) | 100 | 100 | 100 | 完成 | / | ||
36 | 环境影响评价率及环保竣工验收通过率(%) | 100 | 100 | 未统计 | / | 县级层面未统计 | ||
环境管理指标 | 环境 监管 | 37 | 空气质量自动监测站(个) | 2 | 4 | 12 | 完成 | / |
38 | 水质自动监测站(个) | 1 | 4 | 23 | 完成 | / | ||
39 | 重点污染企业安装在线监测系统比例(%) | 100 | 100 | 100 | 完成 | / | ||
风险 防范 | 40 | 环境应急三级体系预案完备率(%) | 100 | 100 | 100 | 完成 | / | |
三、存在的问题及短板
“十三五”期间,海安市生态环境保护工作成绩斐然,但对标人民群众对优美生态环境的热切期盼,形势依然严峻。
PM2.5和O3污染叠加压力较大。“十三五”期间,全市空气质量整体改善趋势明显,但改善成果依然脆弱,大气环境质量受气象条件等因素影响易出现反复。从2018年开始,PM2.5和O3成为影响海安市大气环境质量的主要因素,PM2.5、O3浓度总体为下降趋势,但浓度值仍较高。据调查,海安市大气环境质量主要受产业结构及餐饮油烟等影响,海安市经济增长方式粗放,经济发展水平不均衡,工业布局、产业结构缺乏合理有效的调整,家具、机械行业企业数量较多,在焊接、打磨、喷漆、涂装过程中会产生大量烟尘和挥发性有机物,曲塘镇、白甸镇因家具、机械行业较多,空气质量数值常年在全市排名靠后。餐饮油烟污染物主要包括颗粒物和挥发性有机物直接对PM2.5产生贡献,海安市主城区餐饮业较为发达,大多数餐饮经营单位油烟净化设施处理效果不理想,给海安的空气质量和信访投诉带来很大压力。
部分地表水断面不能稳定达标。“十三五”期间,海安市水环境质量明显好转,但依然存在较多问题。受生活污水收集处理能力不足,农业污染源面广量大、汛期上游来水水质差等影响,国控断面不达标、部分断面水质变化幅度大、备用饮用水源地水质不稳定、地下水环境质量下降等问题依然存在。目前,海安处在新型城市化转变期,随之而来的生活污水排放量也将持续增加,污染物排放量将进一步加大,据统计,海安每天约有17万吨污水产生,实际日处理量约11万吨,从处理总量上说,海安市仍有大量的污水未能得到有效处理。海安市老镇区普遍存在雨污不分、污水随雨水溢流入河现象,已建成投运的村庄生活污水处理设施存在管网破损、污水收集量低、污水进水浓度低、运行维护不正常等问题。农业面源方面,农户耕作施肥方式粗犷,施肥过量等问题依然存在,汛期肥料、农药给水质带来冲击性影响;各区镇普遍存在的畜禽粪便处理能力不足,畜禽粪便量大,去处难以落实等问题亟待解决。支流水质影响不容忽视,海安市主干河道污染源已基本得到控制,但支流污染日益凸显,根据梅雨季加密监测数据,海安市三四级河道污染程度远大于主干河道。
土壤污染形势依然严峻复杂。近年来,通过“调结构、促转型”,全市淘汰一大批化工、纺织印染等重污染行业企业,但工业遗留场地的土壤污染问题尚未得到彻底解决,偿还存量土壤污染治理欠账任务相当艰巨,新增工业污染地块的风险管控面临较大压力。土壤环境管理基础较为薄弱,随着国家法律法规、标准规范密集出台、净土保卫战的深入开展,当前土壤环境保护工作任务重,土壤环境监测监管能力与工作需求相比存在不足。企业主体责任意识不强,土壤污染防治工作起步晚,企业对土壤环境保护工作尚未引起足够重视,亟需科学引导和培训提升。同时,新的土壤环境污染问题和需求仍在不断涌现,而当前土壤污染治理修复手段较为单一,技术不够成熟,传统的修复技术难以适应复杂多变的污染状况,修复过程中的二次污染防治有待进一步强化,土壤环境治理修复压力较大。
生态环境风险隐患较为突出。据统计,海安市使用、经营危化品单位有146家,使用辐射源单位有98家,辐射源使用单位居南通之首,环境应急管理面临严峻挑战。当前环境应急管理依然存在环境应急预案不健全,企业应急预案针对性不强、可操作性较差,部份企业的突发环境事件应急预案未及时进行修订,应急预案中没有专项预案和现场处置预案,危废仓库普遍存在异味重、通风效果不佳,环境安全“隐患”等基础信息掌握不全或不准,环境应急能力不足,缺少必要的环境应急监测、处置设备及专业环境应急救援队伍,环境风险应急物资准备不足等问题。全市重点行业企业搬迁遗留地块仍存在危废未完全处置到位的情况,特别是关闭退出化工企业,存在环境风险隐患。
生态环境治理能力仍存短板。对照生态环境监测现代化要求以及污染防治攻坚和海安生态文明建设的相关要求,目前海安生态环境监测网络的覆盖范围、指标项目等尚不能完全满足“十四五”生态环境质量评估、考核、预警的需求,地表水、地下水、声环境监测网络布局需整合优化,农业面源等监测工作亟待加强,大数据平台建设和污染溯源解析等监测数据深度应用水平有待提升。应急监测能力需进一步加强。对照应急监测的相关要求,海安生态环境监测站在应急监测方面存在缺乏足够的应急装备,应急响应不迅速,应急经验不足,应急协调性不强等问题。执法监测水平仍有待加强,在执法监测工作中依然存在人员少、工作任务重,相关监测工作缺少计划性,监测队伍专业性不强,人员素质参差不齐,监测仪器设备自动化程度低、实验室条件亟待完善,挥发性有机物、土壤、危险废物、机动车尾气等指标监测能力不足等问题。
第四节 “十四五”生态环境保护形势
一、存在机遇
1.生态文明建设战略定力更加牢固
习近平生态文明思想深入人心,绿色低碳循环发展有力推进,生态环境治理体系不断完善,生态文明建设改革举措落地见效,为全面加强生态环境保护、坚决打赢污染防治攻坚战增添了强大动力。党的十八大以来,以习近平同志为核心的党中央高度重视生态文明建设,开展了一系列根本性、开创性、长远性工作,党的十九大报告提出生态文明建设是中华民族永续发展的千年大计,十三届全国人大一次会议第三次全体会议表决通过了《中华人民共和国宪法修正案》,生态文明历史性地写入宪法,推动我国生态环境保护发生历史性、转折性、全局性变化。中共中央、国务院《关于深入打好污染防治攻坚战的意见》明确提出,统筹污染治理、生态保护、应对气候变化,保持力度、延伸深度、拓宽广度,以更高标准打好蓝天、碧水、净土保卫战,以高水平保护推动高质量发展、创造高品质生活,努力建设人与自然和谐共生的美丽中国。党中央将始终保持高度生态环境保护的战略定力,以及强大的污染防治攻坚力度,以“咬紧牙关、爬坡过坎”的坚强意志、以“不动摇、不松劲、不开口子”的坚决行动,继续开拓以生态优先、绿色发展为导向的高质量发展新路径,为“十四五”时期各项生态环境保护政策的制定及实施提供了根本的政治保障。
2.重大国家战略叠加释放绿色发展新动能
“十四五”期间,“一带一路”建设、长江经济带发展和长三角一体化发展三大国家战略交汇叠加并向纵深实施,为协同推进生态环境保护和经济社会发展、融入国内经济大循环和更高水平对外开放带来空前的历史机遇和广阔的进步空间。“一带一路”建设以生态文明与绿色发展理念为指导,坚持资源节约和环境友好原则,将生态环保融入“一带一路”建设的各方面和全过程,绿色“一带一路”成为沿线国家城市的思想共识,为海安市进一步提升可持续发展水平提供了有力支撑。长江经济带绿色发展坚定不移贯彻新发展理念,塑造创新驱动发展新优势,绘就山水人城和谐相融新画卷,切实扛起生态优先绿色发展主战场、畅通国内国际双循环主动脉、引领经济高质量发展主力军的新战略使命,在推动长江经济带高质量发展中争当表率、争做示范、走在前列。长三角一体化发展紧扣一体化和高质量两个关键词,积极践行绿色创新发展、夯实稳定自然生态基底,为海安“全方位融入苏南,全方位对接上海、全方位推进高质量发展”提供了战略指引。“十四五”期间,海安要抢抓战略叠加机遇,加快融入世界发展格局,拓展国际合作空间,在融入一体化、高水平对外开放、绿色转型发展等方面实现新的更大突破。
3.创新引领为高质量发展注入强劲动力
全球新一轮科技革命蓄势待发,并推动新一轮产业革命,国际生产要素流动和产业转移加快,科技创新成果溢出效应明显,有利于海安更好承接国际国内科技创新辐射带动和成果转化,增强生态环境质量改善的内生动力,为海安市承接先进产业转移,推进本土产业转型升级创造新机遇。以信息科技为核心的未来网络技术、虚拟现实技术、人工智能技术,无人工厂、无人车间、无人物流、无人售卖将逐步成为常态,对产业结构、社会就业、仓储物流、用户体验等产生革命性影响。以新能源科技为驱动的储能释能技术,以材料科技为支撑的制造技术革命,将全方位革新社会生产、生活、消费等。新技术、新业态既有利于经济社会发展的清洁化、绿色化升级,从根本上改变环境污染特征,也将给生态环境治理带来新手段、新模式,有助于持续提升环境治理能力现代化水平。“十四五”时期,科技创新作用更加凸显,更大赋能数字经济推动产业转型升级,以绿色工厂、智能制造为特点的制造业绿色转型升级模式加速形成,将加快推动海安市绿色发展水平步入先进行列。
4.经济社会发展和体制机制基础日益坚实
国民经济平稳发展,体制机制改革红利持续释放,经济社会发展和体制机制基础日益坚实,生态环境质量改善迎来重要窗口。从经济社会发展趋势来看,海安市经济发展水平处于南通市中游,部分领域增幅排名前列,2020年,海安市GDP总量已达到1221.63亿元,位列全国综合实力百强县第25位,人均GDP为13.93万元。从能源资源利用趋势来看,近年来,海安市单位GDP能耗处于逐年降低趋势,能源消费效率有所提高,能源资源压力有所舒缓。从主要污染排放趋势来看,COD、氨氮、二氧化硫、氮氧化物等污染排放绩效不断提升。生态环境机构改革、生态环境保护综合行政执法、省以下环保机构监测监察执法垂直管理制度改革全面深化及生态文明建设有效落地,“大环保”、“大监管”、“大治理”格局加速形成,生态环境质量迎来有能力、有条件持续改善的重要窗口。
二、面临挑战
1.碳达峰碳中和目标任务艰巨
力争2030年前实现碳达峰,2060年前实现碳中和,是党中央经过深思熟虑作出的重大战略决策,“率先达峰”是江苏担负为全国发展探路使命的具体体现。海安市碳达峰行动面临诸多挑战,初步统计,海安“十四五”新增重大项目能耗增量已达53.3万吨标煤,远超预计增量20万吨标煤,碳排放控制压力巨大。近年来,海安市大力推进产业转型升级,三产结构持续优化,然而,经济增长方式粗放,经济发展水平不均衡,环境容量“超载”、生态成本“透支”的局面尚未根本扭转,结构性矛盾仍然突出。工业化城镇化发展的增排效应显著,海安工业化城镇化仍在快速提升期,碳排放还处在倒“U”型曲线中快速提升阶段,随着居民生活品质和消费水平的不断提升,碳排放增长刚性较大。碳排放强度下降空间逐年减小,海安单位地区生产总值碳排放量基数低,继续下降难度较大。控制温室气体排放能力的短板亟需补齐,应对气候统计监测体系不健全,基础数据不足,减污降碳合力尚未形成,长效化管控机制有待进一步完善。
2.环境质量改善难度持续加大
通过污染防治攻坚战三年行动,海安市生态环境质量得到有效改善,但成效尚不稳固。与此同时,区域性、积累性、复合型污染问题更加突出,大气复合型污染愈加明显,有限的水环境容量与日益增长的排放需求的矛盾越发突出,工业企业场地及其周边区域土壤呈现新老污染物并存、无机有机复合污染的局面,生产与生活、城市与农村、工业与交通环境污染交织,多领域、多类型、多层面的生态环境问题累积叠加,环境治理难度加大。此外,随着城镇污水处理厂提标升级、热电等行业超低排放改造完成、现有工业企业合规生产和达标排放等方面取得显著成效,末端治理空间将进一步收窄,对加快推进源头治理、精准治理、系统治理提出了更高要求。
3.外部形势变化可能对生态环境保护产生“冲击”
世界正经历百年未有之大变局,国际环境正发生深刻复杂变化,新冠疫情促使大变局加速变化,经济全球化遭遇逆流,单边主义、保护主义上升,全球产业链供应链面临非经济因素冲击,影响全球经济发展。海安作为江苏开放门户,对外开放程度较高,受到外部环境深刻变化带来的严峻挑战。“十四五”时期,一旦地方财政收入降低、刚性支出增加,势必影响政府环保投入尤其是对环境基础设施的投入。同时,受外部环境和疫情影响,企业生产经营面临诸多困难,资金压力增大,环保治理的积极性可能会打折扣。
4.全民共享共治体系尚未形成
“十三五”以来,社会、公民、媒体对于环境质量的关注度不断提升,对于美好生态环境的企盼越来越强烈。但与之形成鲜明对比的是,生态环境治理体系尚不能满足新形势要求,“放管服”改革成果与服务高质量发展要求仍有一定差距,公众自觉履行环保责任的意识仍较为薄弱。部分企业决策者认为环保治理投资增加企业生产成本、削弱发展竞争力,不能主动承担环保责任;社会公众自觉参与生态环境保护实践的氛围尚未形成,在消费、出行、生活等方面践行绿色化尚未真正成为人们的行为规范和准则。解决生态环境问题是一个综合性系统工程,在未来,海安市必须着力构建政府、企业、社会组织和公众共同参与的生态环境治理体系,营造社会广泛参与生态环境保护的浓厚氛围。
综合判断,“十四五”时期,全市生态环境保护仍然处于关键期、攻坚期、窗口期,机遇与挑战并存。要保持战略定力,牢固树立“生态环境质量只能变好、不能变坏”的底线思维,牢牢把握“实现减污降碳协同效应”的总要求,实现改善环境质量从注重末端治理向更加主动源头预防和治理有效传导,推进生态环境保护由“污染防治”向“减污降碳”转变、污染防治攻坚战由“坚决打好”向“深入打好”转变、生态环境治理由“打被动仗”向“打主动仗”转变、生态环境质量由“局部好转”向“根本好转”转变。“十四五”生态环境保护聚焦于以下领域:
一是以减污降碳为抓手,强化源头治理,协同推进经济社会绿色低碳转型和生态环境持续改善。以源头治理为根本策略,加快产业结构转型升级,大力推进能源清洁低碳发展,着力构建绿色交通,显著增强生态环境质量改善的内生动力。把降碳作为源头治理的“牛鼻子”,以生态环境质量改善和碳排放达峰倒逼总量减排、源头减排、结构减排,实现减污降碳协同增效。充分发挥生态环境保护对经济发展的优化调整作用,强化生态环境承载力约束,为绿色发展、高质量发展划好框子、定好规则。
二是以改善生态环境质量为核心,突出“三个治污”和协同治理,深入打好污染防治攻坚战。聚焦“提气、降碳、强生态,增水、固土、防风险”等关键领域,更加突出精准治污、科学治污、依法治污,实现污染防治攻坚战由“坚决打好”向“深入打好”转变。加强O3和PM2.5协同控制,统筹水资源、水生态、水环境“三水”治理,强化山水林田湖草等各种生态要素的协同治理,以土壤安全利用、危险废物强化监管与利用处置为重点守牢环境安全底线。
三是以生态环境治理体系和治理能力现代化为动力,着力解决突出生态环境问题,提升民生生态福祉。深入推进“放管服”改革,坚持指导监督与自身高质量发展并重,强化激励约束政策供给,切实发挥政府主导和企业主体作用,健全全民行动体系,推动生态环境治理由“打被动仗”向“打主动仗”转变。创新生态环境执法监管模式,形成发现问题、解决问题的闭环管理机制,显著提升治理能力,切实解决人民群众密切关注的生态环境问题。
第二章 总体要求
第一节 指导思想
坚持以习近平新时代中国特色社会主义思想为指导,全面贯彻党的十九大和十九届二中、三中、四中、五中、六中全会以及全国生态环境保护大会精神,全面落实习近平生态文明思想和习近平总书记对江苏工作的重要指示要求,按照省委和南通、海安市委部署要求,统筹推进“五位一体”总体布局,协调推进“四个全面”战略布局,准确把握新发展阶段、深入贯彻新发展理念、主动融入新发展格局。紧紧围绕“枢纽海安,物流天下”“产业高地,幸福之城”的战略定位,以碳达峰、碳中和为引领,以美丽海安建设为总目标,以实现减污降碳协同增效为总抓手,坚持系统治理、源头治理,统筹经济高质量发展和生态环境高水平保护,深入打好污染防治攻坚战,持续推进治理体系和治理能力现代化,有效维护生态安全,加快融入长三角生态环境保护一体化高质量发展,集中攻克老百姓身边的突出生态环境问题,不断满足人民日益增长的优美生态环境需要,全力打造江苏东部综合交通枢纽、长三角北翼产业高地、全省创新驱动发展示范地区、宜居宜业幸福之城,致力打造枢纽海安、智慧海安、健康海安、平安海安、宜居海安。
第二节 基本原则
绿色发展,生态优先。坚持绿色发展为引领,深入践行“绿水青山就是金山银山”理念,将碳达峰、碳中和目标纳入生态文明建设总体布局,将生态环境保护主动融入经济社会发展全过程,建立生态优先的决策机制,着力推进绿色发展、循环发展、低碳发展,加快建设资源节约型、环境友好型社会,形成人与自然和谐发展的现代化建设新格局。
问题导向,精准治污。围绕新时期突出生态环境问题和短板,坚持以改善生态环境质量为核心,以解决突出生态环境问题为重点,聚焦重点区域、重点领域,强化生态环境硬约束,把生态环境摆在压倒性的位置,坚持精准治污、科学治污、依法治污,运用科学思维、科学方法、科技手段,精细管理、分类施策、因地制宜,切实提高环境治理针对性和有效性,积极推动治理能力与治理体系现代化。
系统谋划,协同推进。从生态系统整体性和流域系统性出发,统筹谋划山水林田湖草系统保护修复的战略布局、目标指标和重点任务。推进应对气候变化与环境治理、生态保护修复协同增效,增强各项举措的关联性和耦合性,构建区域一体化的生态环境保护格局,不断提升生态系统稳定性和服务功能。
改革创新,彰显特色。坚持实行最严格的生态环境保护制度,加快推进重点领域、关键环节体制机制改革,充分体现质量和创新驱动的特色,大力推进生态环保科技创新体系建设,充分调动企业技术创新活力,带动生态环保产业创新发展,探索具有海安特色的生态环境保护制度体系。
全民参与,共建共享。牢固树立一盘棋思想,聚焦重点领域和关键环节,协同推进经济绿色转型发展、人民生活品质提升、生态环境保护修复,加强引导与宣传,建立健全政府、社会和公众广泛参与的工作机制,增强价值认同,凝聚整体合力,形成共建共享的良好氛围。
第三节 规划目标
到2035年,广泛形成绿色生产生活方式,碳排放提前达峰后持续下降,生态环境根本好转,建成美丽海安样板。节约资源和保护环境的空间格局、产业结构、生产方式、生活方式总体形成,绿色低碳发展和应对气候变化能力显著增强。空气质量根本改善,水环境质量全面提升,水生态恢复取得明显成效,土壤环境安全得到有效保障,山水林田湖草生态系统服务功能稳步提升,国土空间开发保护格局得到优化,资源配置更加合理、利用效率大幅提高,区域环境风险得到全面管控,生态安全屏障更加牢固,城乡人居环境明显改善,生态环境治理体系与治理能力现代化建设取得重要突破,公众对生态环境满意度进一步提升。
到2025年,全市生态环境保护取得新进步,碳排放强度、主要污染物总量持续下降,生态环境持续改善,生态环境治理成效显著提升,生态文明建设迈上新台阶,成为低碳发展先行示范区,沿海沿河形成魅力水岸空间,美丽江苏海安样板建设取得重大标志性成果。
——绿色发展活力持续增强。绿色低碳发展水平显著提升,资源环境配置更加合理,利用效率大幅提高,碳排放强度持续降低,单位地区生产总值能源消耗、单位地区生产总值二氧化碳排放下降率完成省市下达目标任务。
——生态环境质量持续改善。大气环境质量稳步提升,空气质量优良天数比例保持在85.8%以上,PM2.5年均浓度达到30微克/立方米,基本消除重污染天气。水环境质量全面改善,地表水省考以上断面水质达到或优于Ⅲ类比例达到100%,基本消除城乡黑臭水体,海洋生态环境稳中向好,近岸海域水质优良面积比例完成国家和省下达指标。主要污染物减排完成省市下达目标任务。
——生态环境治理能力显著提升。城市污水集中收集率达到75%以上,农村生活污水治理率达到60%,土壤安全利用水平巩固提升,农用地和建设用地环境安全得到进一步保障,土壤环境风险得到有效管控,全市受污染耕地安全利用率、重点建设用地安全利用率完成省市下达目标任务,危险废物与新污染物环境风险防控能力明显增强,核安全监管持续加强,生态环境风险防控体系更加完备。
——生态系统稳定性稳步提升。山水林田湖草沙系统修复稳步推进,生态安全屏障更加牢固,生态空间保护区域功能不降低、面积不减少、性质不改变,林木覆盖率和生态质量指数保持稳定,自然湿地保护率达到52%,生物多样性得到有效保护,生态系统服务功能显著增强。
——生态环境治理取得突破。生态文明制度改革深入推进,现代生态环境治理体系基本形成,生态环境治理效能明显提升。公众对生态环境满意率进一步提升。
表2 海安市“十四五”生态环境保护规划指标体系
类别 | 序号 | 指标名称 | 2020年 现状值 | 2025年目标[五年累计] | 属性 | |
绿色低碳发展 | 1 | 单位地区生产总值二氧化碳排放下降率(%) | 11.4 | [完成上级下达目标] | 约束性 | |
2 | 单位地区生产总值能源消耗降低率(%) | 24.4 | [完成上级下达目标] | 约束性 | ||
3 | 非化石能源占一次能源消费比重(%) | 县级层面暂未统计 | 15 | 约束性 | ||
生态环境质量 | 4 | 空气质量达到优良天数的比例 | 84.7 | 85.8 | 约束性 | |
5 | 细颗粒物(PM2.5)浓度(微克/立方米) | 35 | 30 | 约束性 | ||
6 | 县级集中式饮用水源水质达到或优于Ⅲ类水比例(%) | 100 | 100 | 约束性 | ||
7 | 地表水省考以上断面达到或优于Ⅲ类水比例(%) | 一个新增断面无监测数据 | 100 | 约束性 | ||
其中:国考断面达到或优于Ⅲ类水比例 | 0 | 100 | 约束性 | |||
8 | 水功能区达标率(%) | 83.3% | [完成上级下达目标] | |||
9 | 近岸海域水质优良(一、二类)面积比例(%) | 66.9% | 完成上级下达目标 | 预期性 | ||
10 | 地下水质量Ⅴ类水比例(%) | 0 | 完成上级下达目标 | 约束性 | ||
生态 保护 | 11 | 生态管控区占陆域国土面积比例 | 国家级生态保护红线占国土面积比例(%) | 1.31 | 面积不减少,性质不改变,功能不降低 | 约束性 |
生态空间管控区占国土面积比例(%) | 20.37 | |||||
12 | 生态质量指数 | 保持稳定 | 预期性 | |||
13 | 林木覆盖率(%) | 25.37 | 完成上级 下达任务 | 约束性 | ||
14 | 自然湿地保护率(%) | 52 | 52 | 预期性 | ||
15 | 大陆自然岸线保有率(%) | 17.8 | 保持稳定 | 预期性 | ||
16 | 河湖岸线保护率(%) | - | 60 | 约束性 | ||
17 | 重点生物物种种数保护率(%) | / | 完成上级下达目标 | 预期性 | ||
环境 治理 | 18 | 重点工程减排量 | 氮氧化物(万吨) | - | [完成上级下达目标] | 约束性 |
挥发性有机物(万吨) | - | |||||
化学需氧量(万吨) | - | |||||
氨氮(万吨) | - | |||||
总氮(万吨) | - | |||||
总磷(万吨) | - | |||||
环境 治理 | 19 | 城市污水集中收集率(%) | - | 达到75%以上 | 预期性 | |
20 | 农村生活污水治理率(%) | 行政村生活污水治理率100%,截止2021年9月,自然村治理率为19.94% | 自然村农村生活污水治理率达到60%以上 | 约束性 | ||
21 | 生活垃圾分类投放设施覆盖率(%) | 预期性 | ||||
22 | 危险废物安全处置率(%) | 100 | 100 | 约束性 | ||
23 | 受污染耕地安全利用率(%) | 100 | 完成上级下达目标 | 约束性 | ||
24 | 重点建设用地安全利用率(%) | - | 完成上级下达指标 | 约束性 | ||
25 | 放射源辐射事故年发生率(起/每万枚) | 0 | 0 | 预期性 | ||
满意度 | 26 | 公众对环境质量改善满意度(%) | 92.9 | 持续提升 | 预期性 | |
注:“十四五”期间,海安市共设置9个省考以上断面,2020年三个国考断面均为Ⅳ类,5个省考断面中三个为Ⅲ类,一个为Ⅳ类,一个未监测。
第三章 主要任务
第一节 强化源头治理,全面提升绿色低碳发展水平
一、完善绿色发展机制
建立生态承载力约束机制。建立覆盖全市“三线一单”生态环境分区管控体系,进一步细化生态红线管控措施,发布“三线一单”成果,指导优化产业布局。加强“三线一单”与空间规划的衔接应用,推进“三线一单”在政策制定、环境准入、园区管理、执法监管等方面的应用。加快推进海安县级“三线一单”管控方案编制,明确全市69个园区污染物排放、资源能源消耗、环境质量改善、项目准入要求,做好与项目环评审批的衔接,促进园区生态环境管理工作向制度化、规范化转变。强化“三线一单”和园区规划环评约束,实现工业园区规划环评全覆盖。完成高新区、开发区全口径污染物总量排放核查工作,制定园区水、气主要污染指标总量排放限值清单,建立生态环境承载力约束机制。2025年底前,力争县级以上园区(集中区)规划环评全覆盖。建立生态环境承载力约束机制,开展沿河、沿海等生态敏感区生态环境承载力研究,聚焦生态环境承载力超载和临界地区,建立空间布局、项目准入约束机制。
强化产业项目准入约束。明确区域产业准入条件,贯彻“创新、协调、绿色、开放、共享”五大发展理念,坚持节能优先发展战略,制定海安市产业发展准入清单和负面清单,实施严于国家标准的产业指导目录和落后产能淘汰标准,严格控制高耗能行业发展,坚持走绿色可持续的高质量发展之路。严控项目源头审批,从产业契合度、环境友好度、创新浓度、经济密度等四个维度严格准入门槛。严格规划环评审查和项目环评准入,对不达标地区、集中工业区外的项目,严格落实项目管控要求,确保区域污染总量下降、环境质量提升。实施工业园区污染物排放限值限量管理,暂停审批“超限园区”新增排放超标污染物项目及园区规划环评,“限下园区”减排形成的排污指标可自主用于区内重大项目建设,引导园区和企业主动治污减排。推动碳排放评价、环评、能评融合,落实产业准入负面清单,抑制高碳投资,严格控制“两高一资”项目和高耗能高排放行业新增产能规模,推进“两高”行业减污降碳协同控制。建立绿色发展分类综合评价制度,制定差异化激励和约束政策措施。
健全绿色发展长效机制。持续推进绿色发展体制机制建设,推进和保障产业结构、能源结构、交通运输结构和用地结构的持续优化调整。继续深化生态环境领域“放管服”改革,积极探索区域能评、环评+区块能耗项目审批改革。推进环评审批和监督执法“两个正面清单”改革举措制度化,为治污水平高、环境管理规范的企业开辟绿色通道,营造绿色产业发展营商环境。完善资源补偿交易制度,健全公共资源交易平台,完善土地、节能量、碳排放权、排污权等资源交易制度。加强交易支撑体系建设,完善统计、监测、考核及交易标准等配套措施。健全二氧化硫总量配额管理制度,逐步推行化学需氧量、二氧化硫、氨氮排污权有偿使用和交易制度。完善生态环境损害赔偿制度,探索培育具备司法鉴定资质的污染损害鉴定机构,完善鉴定评估管理与技术体系、资金保障及运行机制,明确生态环境损害赔偿范围、责任主体、索赔主体和损害赔偿解决途径等。将生态环境损害赔偿磋商与司法紧密衔接,推进环境资源民事、刑事、行政案件“三审合一”。
二、加快产业结构绿色转型
加快构筑绿色制造体系。深入开展绿色园区、绿色工厂、绿色供应链、绿色产品等示范创建,加快企业绿色生产方式转型,不断提升绿色制造水平,推动高新区创成国家绿色园区,启动海安绿色工厂创建。针对海安纺织印染、家具、机械等特色产业,收集汇总企业污染物排放、能耗、产值、税收等各类基础数据,深入开展绿色发展调研,科学确定整治提升标准及新建项目准入门槛。对照标准开展企业限量管控,制定“一企一策”达标整治方案,进一步降低企业能耗及污染物排放量,改善环境质量,促进高质量发展。到2025年,建设省级绿色工厂10家,力争绿色新兴产业领域形成1家百亿级创新型领军企业,1-2家技术领先的骨干企业,2家具有自主知识产权和自主品牌的重点创新型企业。
持续优化产业空间布局。加快传统工业转型升级,推进装备制造转型突破,引导装备制造企业从粗加工、零件部件生产向整机生产、成套设备制造再到生产线采购、安装及服务总承包发展,推进传统产业链条延伸,加速化纤、纺织、丝绸产业从纱、线、布等中间原料产品生产向终端消费产品延伸,增加产业链丰厚度和企业盈利水平。实施项目带动战略,通过项目招引和项目建设考核引导,加大新兴产业、高端装备制造、现代纺织、电子信息与机器人及商贸物流等优势相对明显、成长度高的产业项目引进力度。以重大高端项目带动产业转型升级实施项目带动战略,重点引进投资强度大、技术含量高、经济效益好、带动作用强的标杆性企业和高端项目,特别是世界500强和国企、央企项目,通过增量调整,带动存量调整,促进产业转型升级。
推进重点行业绿色升级。严格落实《南通市关于加大污染减排力度推进重点行业绿色发展的指导意见》,构建低效产能退出机制,大力发展融合型数字经济,打造长三角高端制造新中心。以化工、电力、纺织印染、建材、金属制品等行业为重点,强化能耗、水耗、环保、安全等标准约束,鼓励开展智能工厂、智能车间升级改造,推动重点行业加快实施智能化、绿色化改造。深入开展化工安全环保整治提升工作,依法依规淘汰落后产能,持续优化化工行业空间布局。巩固“散乱污”整治既有成果,做好“防新增、防反弹”,完善“散乱污”企业认定办法,分类实施关停取缔、整合搬迁、整改提升等措施。
构建绿色产业链供应链。鼓励企业开展绿色设计、绿色改造、绿色采购,强化全生命周期绿色管理。探索建立资源联供、产品联产和产业耦合共生的循环经济发展模式。完成所有省级及以上园区循环化改造,形成科技含量高、资源消耗低、环境污染少的绿色产业集群,建成中国天楹海安资源循环利用产业园。优化物流网络区域布局与配送体系,建成一批生态型物流园区和物流中心,提升物流效率,降低能源消耗与污染排放,发展绿色循环商贸流通。发展绿色仓储,鼓励在物流园区和大型仓储设施应用绿色建筑材料、节能技术与装备,倡导包装绿色化,减少塑料污染。推行可持续的绿色供应链管理战略,培育绿色供应链示范企业。推动生态环保产业与5G、人工智能、区块链等创新技术融合发展,构建自主可控、安全可靠的绿色产业链,积极应用物联网、大数据和云计算等信息技术,加快仓储、运输、包装、配送物流供应链的绿色低碳发展,依托“枢纽海安”优势推动绿色物流产业发展,加快建立以资源节约、环境友好为导向的绿色供应链管理体系。
大力发展节能环保产业。建立健全约束激励并举的绿色产业发展制度体系,执行严格的环保、水耗、能耗等标准。推行合同能源管理、合同节水管理、环境污染第三方治理等模式和以环境治理效果为导向的环境托管服务,鼓励公共机构推行能源托管服务。加快培育市场主体,围绕节能环保、清洁生产、清洁能源等领域布局一批前瞻性、战略性、颠覆性科技攻关项目。大力发展再制造产业,加强再制造产品认证与推广应用,建设资源综合利用基地。重点发展大气污染、水污染、固废处理处置装备和环保治理设施运营服务业,增强环保治理设施运营服务产值带动,结合“互联网+”、PPP模式等新业态,推动产业链条的纵向延伸和横向拓展,由设备制造转向“制造+运营+服务”,由终端治理转向源流控制,由产品独立转向配套合作,向高端化、系统化、集群化方向发展,打造集研发、设计、制造、服务“四位一体”的节能环保产业体系。到2025年,力争节能环保产业产值超800亿元。
三、构建清洁低碳现代能源体系
加强能源消费总量控制和强度“双控”。深化能源消费总量控制,严格煤炭消费等量减量替代,持续降低能耗强度。严把项目准入关,以单位工业增加值能耗作为工业固定资产投资项目的能耗控制指标,提高招商引资的能效指标门槛,引导发展资金技术密集、能耗低、综合效益好的先进制造业和战略性新兴产业,从源头上遏制高耗能行业的过快增长。从以环境空气质量改善和二氧化碳控制为导向,推动高耗能行业以及重点用能单位深化节能改造,提升大容量、高参数、低污染煤电机组占煤电装机比例,促进燃煤清洁高效开发转化利用。严格控制煤炭消费新增量,重点削减非电行业煤炭消费总量,加快电煤清洁替代,在工业、交通领域广泛推进“以电代煤”、“以电代油。严格限制燃煤小热电建设,原则上禁止新建150蒸吨/小时及以下的燃煤锅炉,鼓励20万千瓦级及以下的煤电机组提前退役,加大散煤治理力度,实现“无散煤城市”。持续淘汰燃煤锅炉,供热半径30公里范围内的落后燃煤小热电和燃煤锅炉全面实现关停整合。到2025年,基本淘汰75蒸吨/小时及以下燃煤锅炉,电力行业煤炭消费占煤炭消费总量的比重提高到98%以上,单位GDP能源消耗量下降率完成上级下达任务。
加快发展清洁能源和新能源。逐步提高天然气利用比重,有序推进“煤改气”,推进天然气管网互联互通和储气能力建设,优化天然气使用方式,大力发展天然气分布式能源,完善天然气产供储销体系建设,稳步扩大天然气等清洁能源利用规模。积极推进燃煤锅炉清洁能源替代,提升可再生能源利用比例。因地制宜发展光伏、生物质等可再生能源发电项目,适时开展地能热、风电储能、风电制氢、分布式风电、海洋能等资源综合利用的研究推广,提高可再生能源装机规模。提升电网汇集和外送能力,增加农村清洁能源供应,推动农村发展生物质能,实施城乡配电网建设和智能升级计划,推进农村电网升级改造。鼓励大型公共建筑、商业楼宇、工厂厂房等建设分布式光伏,建设一批分布式光伏发电、浅层地热应用示范项目。到2025年,天然气消费量提高到15亿立方米以上,非化石能源发电装机力争达到86万千瓦,非化石能源占一次能源消费比重超过15%。
加强绿色建筑节能。深化绿色建筑推广与应用,推行绿色评级与标志制度,加大绿色建筑推广力度。加强建筑节能技术管理与服务体系建设,培育发展建筑节能与绿色建筑示范工程,全面推进海安机关办公建筑和大型公共建筑节能监管体系建设工作。海安保障性住房、建筑节能与绿色建筑示范区中的新建项目、政府投资的公益性建筑以及大型公共建筑四类新建项目,率先按二星级以上绿色建筑标准设计建造。利用旧城区改造、市容整治、老旧小区综合整治、既有建筑抗震加固、围护结构装修和用能系统维护,同步实施建筑节能改造。推行绿色施工方式,推广节能绿色建材、装配式建筑,加强可再生能源建筑一体化研究,鼓励使用地热、太阳能、工业余热等新能源,进一步提高可再生能源在建筑中的应用比例。加强公共建筑能耗水平管理,积极引导智慧、健康、超低能耗技术、中水回用系统和雨水收集系统在绿色建筑中的综合应用,打造一批高品质绿色建筑项目。
四、着力构建绿色交通体系
加强绿色交通基础设施建设。建设绿色低碳交通运输基础设施,优化交通基础设施空间布局,构建完善立体式、现代化综合交通运输体系。将生态环保理念贯穿交通基础设施规划、建设、运营和维护全过程,集约利用土地等资源,合理避让具有重要生态功能的国土空间,积极打造绿色公路、绿色铁路、绿色航道、绿色港口。加强新能源汽车充换电、加氢等配套基础设施建设,加快物流园、产业园、工业园、大型商业购物中心、农贸批发市场等物流集散地集中式充电桩和快速充电桩建设,基本建成适度超前、车桩相随、智能高效的充换电基础设施体系,实现城市核心区公共充换电服务半径小于1公里。大力发展LNG动力船舶,提高港口清洁能源和可再生能源使用比例,大力推进港口RTG“油改电”或采用混合动力、港口水平运输机械“油改气”、靠港船舶使用岸电。深化“互联网+”在出行服务、货运物流服务中的应用,拓展公铁水空和城市交通“一站式”综合信息服务,依托“海安公交”平台,为社会公众提供便捷多样的出行综合信息服务。积极推广应用温拌沥青、智能通风、辅助动力替代和节能灯具、隔声屏障等节能环保先进技术和产品。
构建高效集约的绿色流通体系。推进低碳公路、生态航道建设,大力推广低碳水路运输,畅通内河航道网络。推进江海河、东姜黄河等内河航道整治提升,加快推进凤山港码头扩建和海安第二物流基地挖入式港池研究。提升干线铁路运输能力,开展泰州经海安至如东城际铁路研究,构建海安多向汇聚的城际铁路网;启动新长铁路扩能改造,开展海洋铁路扩能改造研究,完善沿海货运通道功能,加强港区集疏港铁路与干线铁路和码头堆场的衔接,推动实现水铁联运,提高铁路货运比例。推进公铁水多式联运,积极打造铁路第二物流基地建设,实现内河、高速公路、铁路无缝对接,重点推进集装箱公铁、铁水联运发展,推动大宗货物年货运量150万吨以上的新建物流园区和主要港口建设铁路专用线。到2025年,铁路集装箱运输比重和集装箱铁水联运比重实现大幅提高,多式联运方式广泛应用,铁路货运量比2020年增长95%以上(2025年铁路到发量计划200万吨,2020年102.4万吨),水运货运周转量占比接近67%。
推广绿色低碳交通工具。发展优质多元的绿色公共交通,以国家级绿色循环低碳交通运输试点市和新能源汽车推广应用城市为基础,大力实施公交优先发展战略,打造全省公交优先示范城市。推行“绿色车轮计划”,加快公共服务领域和政府机关优先使用新能源汽车,除保留部分应急车辆及新能源汽车无法满足使用需求情况外,推进新增和更新的公交、环卫、邮政、出租、通勤、轻型物流配送车辆全面采用新能源或清洁能源汽车。推动老旧机械淘汰报废,港口新增和更换的作业机械主要采用清洁能源或新能源。大力推动淘汰国三及以下排放标准的营运柴油货车,全面淘汰国三及以下排放标准的柴油环卫车。加大船舶更新升级改造,限制高排放船舶使用,推进内河船型标准化,鼓励20年以上的内河船舶提前淘汰,依法强制报废超过使用年限和达不到环保标准要求的内河航运船舶。推广使用新能源、清洁能源船舶,景区、娱乐场所新增船全部采用新能源,并逐步将现有船舶替换为新能源船舶。到2025年,新能源节能环保城市公交车比例达到80%,建成区公交站点500米半径实现全覆盖,公共汽车首末站发车准点率达99%,公交出行分担率达30%。
五、积极打造碳达峰先行区
开展碳排放达峰行动。科学编制海安市碳排放达峰工作方案,落实碳达峰和减排措施,确保在全国达峰之前率先达峰。实施碳排放总量和强度“双控”,按照国家、省及南通市要求,有序推进碳排放指标分解,加强达峰目标过程管理,将碳排放强度降低目标纳入全市高质量发展考核指标。以空间结构、产业结构、能源结构和运输结构调整为着力点,推进能源、工业、交通、建筑、农业农村、数据中心和5G 新型基础设施等重点领域以及电力、建材、化工、纺织印染等重点行业编制碳达峰专项行动方案。推动年综合能耗在5000吨标准煤以上重点企事业单位开展碳排放监测、报告和核查工作,推动电力行业开展低位热值和单位热值含碳量实测。鼓励大型企业特别是大型国有企业制定二氧化碳达峰行动方案并试点,带动行业乃至全市整体碳达峰行动,鼓励其他行业尽早制定峰值目标及达峰路线图。积极探索差异化的投融资模式、组织形式、服务方式和管理制度,不断完善气候投融资配套政策。持续推进“环保贷”业务,拓宽绿色信贷,鼓励金融行业通过绿色保险、碳指标等衍生品交易为相关产业、项目提供便捷的金融创新服务,研究探索建立气候投融资项目库。
深入开展绿色低碳试点示范。组织开展不同区域、不同类型低碳试点示范申报工作。选择有条件的对象开展近零碳排放区示范工程建设,积极创建零碳城(镇)、零碳园区、零碳工厂,总结可推广、可复制的示范试点经验。积极引入碳捕集、利用和封存项目,探索面向碳中和的二氧化碳低成本捕集、生物转化等零碳、负碳技术试点和产业化示范。根据《江苏省重点行业、企业低碳化改造技术指南》,推进重点行业、企业低碳化改造。开展空气质量达标与碳排放达峰“双达”试点示范,推进协同减排和融合管控,探索温室气体排放与污染防治监管体系的有效衔接路径,加强全过程监管,强化治理目标的一致性和治理体系的协同性,积极推动排放单位监管、排污许可制度、减排措施融合,将碳排放重点企业纳入污染源日常监管。对全市温室气体及排放强度进行全面摸底,研究制定工业、能源、交通运输及建筑领域控制温室气体排放行动计划,积极建立示范试点,协同推进温室气体和污染物减排。
推动重点领域温室气体减排。严格控制纺织印染、化工、建材等重点高耗能行业温室气体排放总量,积极开展碳排放对标活动,有效降低单位产品碳排放强度。围绕化工、电力、印染等重点排放行业,强化从生产源头、生产过程到产品的全过程温室气体排放管理,实现工业生产全过程氧化亚氮、氢氟碳化物、全氟化碳、六氟化硫等温室气体排放得到有效控制,组织开展全市含氢氯氟烃(HCFCs)生产、销售和使用企业摸底排查,建立氢氯氟烃(HCFCs)台账资料。开展低碳农业试点示范,推动“生态+现代农业”融合发展,推进形成“资源-产品-废弃物-再生资源”的农林牧渔多业共生循环型农业生产方式,推进农业循环经济园区建设。推广农业固碳技术,研发生物质炭土壤固碳技术,增强农田土壤生态系统固碳能力。大力推广绿色低碳建筑材料和建造方式,积极发展装配式建筑,到2025年,全市新建民用建筑绿色建筑达标率达到100%。实施“绿屋顶”计划,加强可再生能源建筑一体化研究,推动城乡建筑领域太阳能光电技术应用,支持在农村发展离网式光伏发电,进一步提高可再生能源在建筑中的应用比例。
夯实低碳技术基础支撑。加强气候变化基础研究和观测预测研究,开展气候变化对敏感行业影响评估和风险评估。大力支持低碳技术创新和减排模式创新,加强对低碳技术和产品集成攻关,重点建设“光伏+”、微电网应用、氢储能及加氢站试点、便捷充换电池基础设施推广、近零排放、二氧化碳大规模捕集和高值化利用试点、低碳服务业管理等示范工程。探索碳排放权有偿使用制度和低碳综合管理体系建设,推动碳市场服务业发展,培育碳交易咨询、碳资产管理、碳金融服务等碳交易服务机构,借助合同能源管理、碳资产、碳基金等新兴业务,积极开展节能、碳排放权交易试点。
第二节 坚持精准发力,全面推进空气质量改善
一、加强PM2.5和O3协同控制
实施大气环境质量目标管理。以持续改善大气环境质量为导向,严格落实空气质量目标责任制,深化“点位长”负责制,完善定期通报排名制度,及时开展监测预警、督查帮扶、约谈问责工作,压紧压实各级责任。研究出台乡镇(街道)空气质量生态补偿制度,围绕空气质量提升目标,结合本地区实际制定实施空气质量达标或提升计划。按照前紧后松,持续改善原则,加强达标进程管理。到2025年,全市空气质量优良天数比率达到85.8%以上,PM2.5浓度达到30微克/立方米。
推进PM2.5和O3、NOx和VOCs协同控制。统筹考虑PM2.5和 O3污染的区域传输规律和季节性特征,选择试点开展PM2.5和O3污染区域传输专项研究,分类准确建立差异化管控机制,加强重点区域、重点时段、重点行业治理,强化分区分时分类差异化精细化协同管控。开展大气PM2.5网格化监测点位加密,健全O3污染监测预警体系,建设PM2.5和O3协同控制监测网络,加快形成与O3关联溯源的能力,为O3污染精准治理提供基础数据和科学评估。
加大VOCs治理力度。大力推进源头替代,以减少苯、甲苯、二甲苯等溶剂和助剂的使用为重点,推进低VOCs含量、低反应活性原辅材料和产品的替代,实现南通晓星变压器有限公司、凯琦森家具海安有限公司等20个企业低VOCs清洁原料替代。深化重点行业VOCs深度治理,推进大气“绿岛”废活性炭集中脱附中心建设,开展家具、机械制造等工业涂装行业VOCs专项整治,开展恒泽安装工程股份有限公司、南通盛品钢结构有限公司等14个工业企业VOCs深度治理。开展印染行业废气深度治理,进一步强化设备密闭化改造,引导企业合理安排停检修计划,规范化装置开停工及维检修流程,减少非正常工况VOCs排放。加强石化、化工、工业涂装、包装印刷、油品储运销等重点行业VOCs治理,确定并发布VOCs重点监管企业名录(第二批),督促企业开展排放情况自查、编制并实施“一企一策”综合治理方案。加强VOCs无组织排放管理,全面落实《挥发性有机物无组织排放控制标准》(GB/T37822-2019),以储罐、装卸、设备管线泄露为重点,对储存、转移和输送、设备与管线组件泄露、敞开液面逸散以及工艺过程等排放源实施管控。
二、持续推进工业污染源治理
推进重点行业稳定达标和深度治理。推进燃煤电厂“超超低排放”,推动现有燃煤电厂提前执行省煤电新标准。鼓励开展燃气机组深度脱氮,强化燃煤电厂烟气脱硝氨逃逸防控。开展海安华新热电有限公司、江苏联发环保新能源有限公司、南通常安能源有限公司工业NOx治理。推进重点工业污染源达标排放,严格执行重点行业氮氧化物、颗粒物、VOCs大气污染物特别排放限值。推进非电行业超低排放改造,持续推进水泥、砖瓦建材、石化、垃圾焚烧发电行业超低排放改造,推进海安天楹环保能源有限公司垃圾焚烧炉废气深度治理。推动海安市家具行业和机械行业开展废气治理工作,推动东部家具产业集群开展废气专项整治;加大机械行业摸排力度,实行动态清单式管理,根据切割、焊接、打磨、抛丸、喷漆、喷塑等整治要求,全面推动机械行业污染整治。深化工业园区、企业集群综合治理,实施工业园区(集中区)排污限值管理,建立并推进“嗅辨师”制度,试点创建“无异味”园区,督促园区建立健全监测预警监控体系。加强消耗臭氧层物质(ODS)淘汰管理,依据《消耗臭氧层物质管理条例》做好监督管理及ODS数据统计与审核工作。
持续推进锅炉深度整治。积极推进燃煤锅炉淘汰整合、清洁能源替代和集中供热。全面开展燃气、生物质锅炉摸排,梳理锅炉现状,加快推进燃气锅炉低氮燃烧改造,实施南通龙洋水产有限公司、江苏江山红化纤有限责任公司、南通裕弘服装有限公司、南通中菱电力科技股份有限公司天然气锅炉低氮改造。深入推进工业炉窑综合整治,坚持“突出重点、分类施策”,对启动超低排放改造以外的重点涉工业炉窑行业,通过提标改造或清洁低碳能源、工厂余热、电厂热力替代等方式,实现有组织排放全面达标、无组织排放有效管控。开展生物质锅炉专项整治,工业集聚区内存在多台分散生物质锅炉的,实施拆小并大,4蒸吨/小时以上生物质锅炉需安装烟气在线监测,进料口要安装视频监控设施并联网。分批推进生物质锅炉超低排放改造,全市范围内保留的生物质锅炉需使用专用生物质锅炉,使用生物质成型燃料,配备旋风+布袋除尘等高效除尘设施,强制淘汰私自掺烧高污染燃料锅炉。2025年底前,全市4蒸吨/小时以下生物质锅炉全部淘汰或实施清洁能源替代。
三、强化车船油路港联合防控
扎实推进机动车污染治理。强化机动车执法监管,完善排放检验与维护(I/M)制度,建立联合监管工作机制。开展全市机动车排放检验机构全覆盖监督检查,严厉打击尾气检测弄虚作假、屏蔽和修改车辆环保监控参数等违法行为。开展柴油车排放路检路查,重点检查柴油货车污染控制装置使用、尾气排放达标情况。自2021年1月1日起,全市所有销售和注册登记(含外省市转入)的燃气车辆,应符合国家机动车排放标准6b阶段要求,自2021年7月1日起,全面实施重型柴油车辆国6a排放标准。大力推进国三及以下排放标准的柴油货车淘汰更新,全面淘汰国三及以下排放标准的柴油环卫车,鼓励柴油车加装颗粒物捕集器(DPF)。严格落实高排放车辆禁限行管控措施,依法处理闯入禁行管控区的限行车辆。推进国五柴油车OBD远程在线监控设备安装与联网,稳步提高柴油车监督抽测排放合格率,基本消除冒黑烟现象。对物流园、工业园、货物集散地等车辆集中停放地,以及物流货运、长途客运、公交、环卫、邮政、旅游等重点单位开展入户监督抽测,秋冬季期间监督抽测柴油车数量不低于当地柴油车保有量的80%。
加强非道路移动机械污染防治。开展非道路移动机械执法行动,对非道路移动机械销售企业实施常态化环保达标监督检查,持续推进非道路移动机械的摸底调查和编码登记工作,扩大禁止高排放非道路移动机械使用区域的范围。建立多部门的联合执法机制,加大环境监管力度,增加抽查频次。强化工程机械监督抽测,开展工程机械监督抽测,每年抽测数量不少于120台。推广使用新能源非道路移动机械,鼓励混合动力、纯电动、燃料电池等新能源技术在非道路移动机械上的应用,优先发展中小非道路移动机械动力装置的新能源化,开展港口、铁路货场、物流园区等重点场所非道路移动机械零排放或近零排放示范应用。推广清洁能源在内河运输船舶中的应用,港口新增或更换的作业车辆和机械原则上使用新能源或清洁能源。落实补贴政策,推动海安籍船舶受电设施改造,并按规定检验,具备岸电使用条件的船舶按照国家有关规定使用岸电,使用岸电的船舶必须关停燃油发电机。
开展车船油品联合管控。加强油品质量监管,积极开展打击和清理取缔黑加油站点、流动加油车船和不符合要求的企业自备油罐及装置专项行动,溯源查处劣质油品存储销售集散地及生产加工企业。强化船用燃料油使用监管,严厉打击船舶使用不合规燃油行为,开展船舶用油现场抽检,检查船舶燃油硫含量及燃油使用量等信息,对向船舶供油的船舶加油站、水上服务区等供油单位的成品油质量进行抽查。落实长三角水域船舶排放控制区管理要求,内河和江海直达船舶必须使用硫含量不大于10毫克/千克的柴油;海船进入内河排放控制区,应使用硫含量不大于1000毫克/千克的船用燃油。加强油气回收的治理力度,推进油气三次回收建设,开展年销售量2000吨及以上加油站三次油气回收改造,完成加油站油气回收在线监测设备安装,强化油气回收监督检查,开展加油站、油罐车油气回收装置抽检,依法整改油气回收装置不能正常运行等问题。强化船舶使用国家标准普通柴油的监督检查,按照国家和省的统一部署,对照《码头油气回收设施建设技术规范》要求,有序推进港口储存和装卸、油品装船油气回收治理任务。
四、持续加强扬尘精细化管控
推动道路交通扬尘污染精细化管控。实施降尘量考核,加严降尘量控制指标,全市平均降尘量不超过3.1吨/月·平方千米。建立市、区镇(街道)、村(社区)三级道路清扫保洁体系,开展“清洁城市行动”,实施“以克论净”考核办法,推动道路交通扬尘污染精细化管控。提高城市道路环卫保洁服务水平,加强保洁车辆配置和更新,加大对城区主次干道机扫,洒水频次,每日机扫不少于2次,洒水不少于3次,夜间冲洗1次,清扫前应进行洒水、喷雾。针对市区重点工地周边及交通活动密集区加密洒水抑尘频次,保持道路整洁无积尘,通行时路面湿润。加强重污染天气应对,重点区域实施24小时不间断洒水和雾炮降尘等抑尘作业。
严格施工工地和渣土运输监管。严格施工扬尘监管,建筑工地应采用全封闭围挡,一般路段围挡高度不低于1.8米,重要地区和主要路段范围内的围挡高度不低于2.5米。实现裸土与物料堆放覆盖,裸土超过4小时必须覆盖、绿化或固化。实施路面与场地硬化,施工现场出入口、场内主要道路、主要操作场地以及生活、办公区主要道路必须进行硬化处理。严格渣土车规范化管理,实施渣土车密闭运输,对重点区域每周开展渣土车夜间运输集中整治,依法依规查处非法运输、抛撒滴漏、带泥上路、冒黑烟等行为。动态更新施工工地管理清单,全面落实六个百分之百措施,综合运用按日计罚、“红黑榜”公示、工地信用积分制度、扬尘税征收等手段,大幅提高工地违法成本,提高装配式建筑比例,实现工地喷淋、洒水抑尘设施全覆盖。积极推进绿色智慧工地建设,提高全市建筑施工标准化文明管理水平,推行建筑工地安装扬尘在线监测和视频监控系统,与“智慧工地”联网,城管、住建、生态环境等部门实时共享数据。
加大堆场、码头扬尘控制力度。全面推进煤炭和矿石码头堆场、干散货码头物料堆场围挡、苫盖、自动喷淋等抑尘设施、物料输送装置吸尘、喷淋等防尘设施建设。大型煤场、物料堆放场所应当建立密闭料仓与传送装置,堆场围墙四周、生活区、办公区内未硬质化的空地进行合理绿化,划分料区和道路界限,及时清扫和冲洗散落的物料,保持出口处道路整洁。对从事易起尘作业货种的码头,装卸物料应当采取密闭或者遮盖、喷淋、绿化、设置防风抑尘网等方式防治扬尘污染。取缔无证无照和达不到环保要求的干散货码头,推动全市码头堆场扬尘治理全覆盖,并与环保部门联网,逐步建立健全港口粉尘防治与经营许可准入挂钩制度。
五、全面推进生活源污染治理
深入推进餐饮油烟治理。联合城管局积极推动重点区域餐饮油烟排查整治,要求各单位安装高效油烟净化装置,规范排气烟道设置,实施油烟在线监控并联网。鼓励以街道(社区)为单位实施餐饮油烟治理第三方统一运维,积极探索餐饮油烟治理新模式,结合城市环境综合整治工作,选择投诉较多餐饮聚集街区开展试点,根据区域主要餐饮类型,推广集中式餐饮企业集约化管理,采用安装独立净化设施、配套统一处理设施、建设公共烟道等方式,推广高标准油烟净化设备,新建楼盘必须将餐饮油烟公共烟道设计纳入规划。加强对餐饮企业的环保监管,禁止在居民住宅楼、未配套设立专用烟道的商住综合楼以及商住综合楼内与居住层相邻的商业楼层内新建、改建、扩建产生油烟、异味、废气的餐饮服务项目,禁止任何单位或个人在当地人民政府禁止的区域内露天烧烤或为露天烧烤提供场地。
加强汽修行业VOCs污染防治。督促汽修企业严格按照《车辆涂料中有害物质限量》(GB24409-2020)使用车用涂料,严格执行《汽车维修行业大气污染物排放标准》(DB32/3814-2020),落实标准排放限制、工业措施及管理要求,组织开展全市汽修行业贯标专项整治行动,严厉打击喷涂工序未密闭、超标排放等违法行为,将污染治理情况纳入汽修企业评级,倒逼企业实施治理。推进底色漆使用水性、高固体分涂料,推广采用静电喷涂等高效涂装工艺。
加强农业源污染治理。加强养殖业大气氨排放治理,大型规模养殖场安装废气治理设施,推进畜禽粪便生物处理技术,建设氨排放净化装置。推进种植业大气氨排放控制,优化肥料品种,降低铵态、酰胺态氮肥比例,扩大非铵态氮肥比例,增加包膜肥料等缓释型肥料、水溶肥料用量;改进施肥方式,提高机械施肥比例,强化氮肥深施,推广水肥一体化技术。加强秸秆污染防治,建立全覆盖网格化监管体系,加强“定点、定时、定人、定责”管控,综合运用无人机和卫星遥感、高清视频监控等手段,加强对各地露天焚烧监管。加大秋冬季应急管控期间及PM2.5轻度超标天气下的秸秆禁烧监管及处罚力度,在高铁、高速沿线及重点区域杜绝露天焚烧秸秆现象,严格落实焚烧监管目标责任考核和奖惩制度。
强化其他生活源污染防治。禁止露天焚烧沥青、油毡、橡胶、塑料、垃圾、皮革等产生有毒有害、恶臭气体的物质,禁止在城市建成区露天焚烧落叶。严格落实《海安市人民政府关于扩大限制燃放烟花爆竹区域的通告》,联合公安、纪委开展烟花爆竹禁燃禁放宣传及督查,完善烟花爆竹禁限放规定,逐步扩大禁限放区域,推动在规定区域内禁止销售、燃放烟花爆竹等各项措施落地见效。
六、加强区域协作与污染应对
提升重污染天气应对能力。加强环境空气质量预测预报能力建设,延长全市空气质量预报时长,建立PM2.5与O3污染协同控制应急指挥系统。综合运用排放源清单、污染源在线监测、用电量及工况监控、卫星遥感等大数据,实现环境质量与污染源的关联分析,推动溯源追踪与成因研判,形成快速应对指挥能力。健全污染过程预警应急响应机制,根据排放与治理情况,及时修订应急预案,调整预警分级标准,逐年更新重点监管企业名录,制定“一厂一策”应急减排方案,细化落实到具体生产线、生产环节、生产设施,确保可操作、可监测、可核查。逐步扩大“一企一策”“一行一策”实施范围,落实清单化、电子化管理,强化技术监管手段,加大监督管理力度。
实施差异化应急管理。严格按照《重污染天气重点行业应急减排措施制定技术指南》和省、市《重污染天气应急预案》有关要求,开展绩效分级,评定豁免企业,实施差异化管控,对稳定达标企业无事不扰,充分调动企业治污积极性。细化全市重污染天气应急减排措施清单、国省控空气质量监测站重点区域污染源清单、施工工地管理清单。夯实应急管控措施,针对夏季、冬季不同污染因子,建立夏季、冬季应急减排清单,根据PM2.5及O3污染形势研判、企业源头替代和治理水平、重污染天气应急应对需求,制定重点企业错峰生产计划,采取错峰减排措施。
推进区域联防联控。加强区域协同监管、重污染天气联合应对和重大活动空气质量保障,积极探索跨区域协作会商机制,共同治理,定期会商、分析异常、联合检查、交叉互查,建立常态化、动态化、精准化防污治污手腕,力促各监测点位稳定达标。根据“省级启动,市县响应”原则,实施重污染天气应急联动,同步响应,同步应对,根据《南通市空气质量异常预警和应急管控方案》,提前启动预警管控,削减内源大气污染物排放,“保良增优”,在重污染天气预报预警发布后,快速响应、联防联控,全力落实管控措施,充分发挥属地管理责任。
第三节 坚持“三水”统筹,持续提升水生态环境
一、加强水资源节约保护
严格执行水资源管理制度。践行“节水优先”的治水方针,促进经济社会发展与水资源承载能力相协调。以工业节水减排、城乡节水降损、农业节水增效为目标,强化用水指标刚性约束,建立节水评价机制和“水资源利用库”,以水定产、以水定城、以水定需,加大用水总量和强度双控力度。实行最严格水资源管理制度,严守用水总量控制、用水效率控制、水功能区限制纳污“三条红线”,健全取用水总量控制指标体系,严格取水许可、定额用水管理,水资源有偿使用、水资源论证、入河排污口管理等制度,完善污水处理收费和差别化水价制度,鼓励建立农村污水处理收费制度。强化用水全过程监管,完善各行业用水计量和统计分析,建立用水单位重点监控名录,推进合同节水管理,继续开展“水效领跑者”引领行动,加快节水技术进步和创新。在纺织业推行清洁生产,采用节约用水的工艺和设备,将开敝式染色设备改为封闭式染色设备,减少染液消耗量,减少用水量;采用逆流漂洗工艺,使较清洁的后段水用于前段初始漂洗;对棉印染企业在前处理工艺中采用冷轧堆一步法工艺或退煮漂联合机,以达到节水减污的目的。开发和完善超临界一氧化碳染色、生物酶处理、天然纤维转移印花、无版喷墨印花、合成纤维转移印花、光化学催化脱色等不用水或少用水工艺和技术。推广农业节水技术,加强灌排沟渠防渗建设,示范推广使用喷灌、滴灌等节水型设施,完善灌溉用水计量设施,提升节水灌溉工程面积占耕地面积比例和农田灌溉水有效利用系数。到2025年,用水总量控制在5.32亿立方米以内,创建省级节水减排示范项目5个,开展用水审计5家,农田灌溉水有效利用系数达到0.66。
加强非常规水源利用。加强污水再生利用,加大污水处理厂污水集中处理能力和再生水利用配套设施建设,完善污水处理再生利用技术标准,推广使用符合标准的再生水。工业集聚区统筹规划建设集中式污水处理设施和再生水利用系统,再生水利用率达到20%以上。在纺织印染企业推广使用先进的溴化锂制冷技术,通过制冷对热量的吸附交换,使空调水温降低,提高纺织企业空调水的重复利用率,推行废水资源化,将经生物治理与物理化学治理相结合的处理达标废水再进行深度处理,回用于生产过程中的漂洗工段或满足企业中水要求。建设南通常安水务集中预处理及中水回用项目,新增1.5万吨/日集中预处理工程和3.75万吨/日中水回用工程。在城市绿化、市政环卫、生态景观等行业以及公共建筑杂用水等领域扩大使用再生水,在人口相对集中的新建居民小区或用水量比较大的企事业单位,建设“再生水回用示范工程系统”,配套小型再生水回用设施。加强雨水集蓄利用,鼓励学校、宾馆、医院、大型商业综合体建设中水回用系统,减少常规水源的利用量。推广建设道路、屋顶收集雨水系统,用于河道景观和绿化。结合城市雨污水管网和排水防涝设施改造,采用下凹式绿地、下沉式广场、渗透铺装、植草沟、雨水花园等措施加强雨水收集利用,配套建设雨水滞渗、收集利用等设施。加强海水利用,严格限制在沿海地区新建以淡水为水源的高用水项目,鼓励有条件的企业利用海水,支持海水淡化水进入城市供水管网。结合老坝港滨海新区石材、家具、生物、新能源以及装备制造、新材料、电子信息、休闲旅游等海洋新兴产业布局,制定海水利用规划,将海水作为大生活用水用于老坝港滨海新区城市杂用水,建设海水利用示范工程,提高海水利用率。
提高节水型社会建设水平。宣传节水观念,培养公众自觉节水行为,逐步提高公众节水意识和文明用水意识,完善公众节水行为规范体系。普及节水知识和技能,推广国家成熟适用节水技术,普及节水器具。持续推进“节水型城市”建设工作,形成示范效应,推动城镇节水工作全面展开。积极创建节水型单位、学校、小区,着力推动节水工作的落实。创建“节水型单位”,以宾馆饭店、机关、医院、科研单位为重点,健全节水用水管理组织机构,实施严格的用水管理。“节水型学校”制定节约用水工作实施方案,开展落实节约用水措施,提高节约用水效率,同时开展多种形式的节约用水宣传教育活动,引导中小学生从小树立节约用水的观念。选择条件较好的生活小区作为节水型小区创建单位,节水型小区创建与居民节水器具改造工作相结合,落实创建标准和要求。创建“节水型家庭”,通过宣传、咨询等活动提高社区居民的节水意识,使家家户户都来争做“节水型家庭”。到2025年,节水型器具普及率达100%。
二、稳步提升水环境质量
实施水环境质量目标管理。以水环境质量持续改善为目标,优化实施以控制断面和水功能区相结合的地表水环境质量目标管理,加快推进水功能区与水环境控制单元区划体系和管控手段的有机融合,建立统一的水生态环境管理区划体系、监测体系和考核体系。深入推进河(湖)长制、断面长制,压实压紧河(湖)长制工作责任链条,优化河(湖)长设置,以发现问题、处理问题为导向,切实提升水质改善成效。针对汛期水质滑坡明显断面,编制“一断面一策”汛期防范应对方案,在确保防洪排涝安全的前提下,强化汛期劣质水管控,防范汛期水环境恶化。到2025年,水生态系统功能逐步恢复,水资源、水环境、水生态统筹推进格局基本形成,全市省考以上断面优Ⅲ比例力争达到100%。
强化饮用水源地保护。严格执行省人大《关于加强饮用水源地保护的决定》,持续推进饮用水源地规范化建设,规范设置水源地勘界立标及隔离防护,完成海安市新通扬运河备用水源地保护区调整工作,完成一级保护区1.5公里生态护坡建设。组织开展饮用水源地水质保障行动,巩固前期排查整治成果,建立健全饮用水源保护区日常巡查长效机制,落实巡查责任、巡查人员、巡查制度和巡查方案。加强饮用水源地水质监测,建设水质监测在线系统,开展新通扬运河海安集中式备用饮用水源地风险评估,实施饮用水源地保护区环境整治。完成集中式饮用水源地突发性水污染事件应急预案编制、修订和备案,定期排查影响水源地安全的风险隐患,持续推进水源地风险隐患整治加强水源地流动风险源监管和风险防范,强化部门和区域执法的联动,实现涉及水源地保护部门间监测数据共享和信息互联互通,加强集中式饮用水源地突发性水污染事件的演练,提高应急处置能力。开展全市水源地保护区矢量图集的动态更新,推进地下水应急备用水源地工程建设、保护区划定和隐患问题整治工作。到2025年,全市集中式饮用水水源地水质达到或优于Ⅲ类水质比例保持100%。
开展重点断面综合整治。根据“十四五”国、省考断面水质目标及2020年水质现状,开展不稳定达标断面的达标整治及强制减排实施方案编制,加强断面达标方案执行情况的监督检查,确保方案得到有效落实。在重点国省考断面上游3公里、下游1公里范围内因地制宜建设以灌木、草本植物、乔木等为主的生态缓冲带。加强生态流量保障,维持生态用水需求,增强水体自净能力,逐步恢复河道生态功能,提高自净能力,制定国、省考断面生态流量保障实施方案,明确生态补水来源、调度闸坝,明确不同时段下泄流量要求。开展支流整治工程、沿河居民生活污染治理和工业企业、码头、砂石场专项整治。加强断面周边目击范围内的环境整治工作,清理违规占用岸线、岸边垃圾或秸秆乱堆乱放、水上垃圾飘浮物等,船舶有序停靠。保障汛期水质,落实江苏省防范应对汛期水质波动工作方案(试行)要求,全面启动汛前水环境专项检查,开展支流清理,入河排污口执法检查,污水处理厂检查、排涝泵站检查等行动,在汛期特别是梅雨期来临之前完成“大扫除”。
防治近岸海域污染。深入推进“湾(滩)长制”,健全管理运行机制,推进陆、海、河系统治理,推动“湾(滩)长制”与“河长制”的有效衔接、深度融合,加快形成“一滩一策”治理方案,结合“美丽海湾”建设推进实施,完善考核评价体系。严格用海规划管理,严厉打击滩涂区域的非法围垦活动,合理配置围垦区内生态、农业、建设用地比例,尽量保证生态用地集中连片。加强养殖用海管理,调结构、转方式,积极推行生态养殖模式,规范海堤管理范围内开发利用行为,科学开发利用沿海滩涂岸线资源,科学配置海域资源和节约利用土地资源。巩固北凌河、栟茶运河整治成果,进一步加大入海河流污染综合治理,实施海安市城镇污水管网新建工程,在海安市城区和10个区镇开展污水管网建设200公里,改善和提高北凌河、栟茶运河等入海河流沿线地区的污水收集能力。完成45个入海排污口监测、溯源、整治工作,根据排污口的合法性、排入水体环境质量、日常管理要求,按照“取缔一批、整治一批、规范一批”的原则进行分类整治,建立“权责清晰、监控到位、管理规范”的入海排污口监管体系。按照“海域—流域—控制区域”三级海洋环境保护控制体系,建立陆海一体化的入海污染物总量控制制度,坚持陆海统筹和区域联动的综合治理原则,实施近岸海域污染物削减控制。2022年底,全面完成设置不合理入海排污口的清理,2025年底,入海河流全面消除劣Ⅴ类水体。
三、强化城镇生活污染防治
提高城镇污水处理能力。建设绿色智能、安全可靠的城镇污水收集处理设施,以“城镇污水处理提质增效精准攻坚333行动”为突破口,高标准推进“污水处理提质增效达标区”建设。针对进水浓度低的污水处理厂制定“一厂一策”方案,实现生活污水“厂网河”一体化治理模式,推进建成区生活污水全收集、全处理,推进建制镇污水处理设施全覆盖、全运行。以海安市城市规划区、省级及以上工业园区为核算区域,以污水处理厂收集范围为基本核算单元,开展水平衡核算工作。提高初期雨水污染治理能力,加强城镇建成区初期雨水的管控,结合海绵城市建设,因地制宜开展初期雨水截留纳管、初期雨水处理设施建设,推动雨水收集和资源化利用。坚持“水泥同治”,完善城镇污水处理厂污泥处置设施建设,全面推进城镇污水处理提质增效,污水全处理全达标。推进海安市城市污水处理有限公司2.4万吨/日扩建、城市污水厂湿地提标改造、海安市鹰泰水务二期2万吨/日扩建项目。
完善污水收集处理系统。加大城区盲区污水管网建设,基本消除城中村、老旧城区和城乡结合部生活污水收集处理设施空白区。实施海安市城镇污水管网新建工程,在海安市城区和10个区镇开展污水管网建设200公里,改善和提高北凌河、栟茶运河等入海河流沿线地区的污水收集能力。加强污水管网排查检测,有序推进管网改造与修复,继续推进城区主次干道雨污分流改造,逐步实现新改建地区雨污分流,建立健全管网设施维护机制,实施精细化维护管理。完善配套管网,按照“十个必接”(机关、学校、医院、集中居住小区、非化工工业集中区、农贸市场、垃圾中转站、宾馆、饭店和浴室)原则,加快推进建制镇污水收集管网建设,提高设施运行负荷率,充分发挥设施效能。实施海安市老旧小区雨污分流改造工程,对富安梁一大桥考核断面汇水范围内2个老旧小区开展雨污分流改造,配套建设管网1km;完成全市8个安置房小区雨污分流改造。实施建成区范围内雨、污水管网的溯源、检测、维修,小区阳台水、底层车库排水治理,机关庭院水雨污分流和临街商业小散乱治理,纠正雨污错接、混接,实现雨水、污水各行其道,有效提升排水管网进水指标,实施提质增效达标区A-I区域小区单位管道检测溯源及改造工程。
加强“小散乱”排水整治力度。深入摸清城市农贸市场、小餐饮、夜排档、理发店、洗浴、洗车场、洗衣店、小诊所等“小散乱”排水户和建设工地的排水水量水质、预处理和接管情况,建立问题清单和任务清单,及时整治到位。持续推进小餐饮、洗车、沐浴、美容美发、洗涤、小旅馆等“六小行业”控源截污整治,认真组织行业普查,突出重点环节监督检查,确保新增“六小行业”经营户的隔油池、沉淀池等规范化截污预处理设施的设置率和污水纳管率达到100%。加大监管力度,督促“小散乱”经营户按要求申领排水许可证,对违法商户依法处置,严重者吊销相关证照。加大对雨污水管网私搭乱接、污水乱排直排等行为的联合执法力度。尚未建设污水管网的地区,排水经营户必须先行建设污水收集池,建立污水委托收运体系,就近将污水运送至污水处理厂处理。
加强医疗污水处理监管。以定点收治医院、集中隔离医学观察点以及接纳其污水的城镇污水处理厂为重点,扎实做好医疗污水和城镇污水处理监管工作,规范医疗污水应急处理、杀菌消毒要求,切实做好医疗污水收集、污染治理设施运行、污染物排放等监督管理,防止二次污染,完善医疗机构污水处理和消毒设施,做到达标排放。
四、推进农业面源污染防治
推进种植业面源污染防治。优化农业产业布局,着力构建现代农业产业体系,积极推进优质稻米、蚕桑、禽蛋、水产、蔬菜五大优势产业,重点打造以李堡镇、角斜镇为主的蔬菜种植园区,滨海新区老坝港、里下河为主的现代渔业生态园区等五大传统优势产业园区。推动建立粮食生产功能区、重要农产品保护区、特色加工区,实施“183”培育工程,加快雅周现代农业产业园和海安农场高质量建设,建立绿色高质高效粮油产业基地,推动绿色循环农业体系,重点打造省级“现代禽蛋产业园”,国家级“现代农业产业园”“全国一流优质茧生产基地”等。开展化肥农药减量增效行动,开展农药经营使用违法行为执法检查,建设绿色防控示范区,优化农药销售使用环节,提高乡镇农药集中配送覆盖面。推广农作物测土配方施肥技术,以区镇为单位推进测土配方施肥,实施取土、检验、宣传、推广配方肥施肥,推广氮肥深施、分段施肥、缓释肥应用的科学施肥技术,减少农田化肥流失,指导农户改变施肥方式、时间。推进秸秆全量化综合利用,积极推广秸秆能源化、饲料化、能源化、纤维化利用等新兴特色项目,实现资源转化升值。加强废旧农膜及农药、肥药包装废弃物回收处置体系建设,加快可降解农膜推广应用,积极探索废旧农膜回收利用模式,开展残留农膜回收试点,在全市10个城镇选择部分村开展残留农膜回收利用示范,建立回收、处置管理体系。开展高标准农田建设,十四五期间推进17.92万亩高标准农田建设,其中开发区建设1.7万亩,大公镇建设1.19万亩,高新区建设2.31万亩,李堡镇建设0.13万亩,南莫镇建设2.07万亩,白甸镇建设1.43万亩,曲塘镇建设2.42万亩,雅周镇建设1.5万亩,滨海新区建设1.95万亩,墩头镇建设3.22万亩。到2025年,全市绿色优质农产品占比确保60%以上,全市化肥使用量较2020年有所下降,相关示范区削减5%以上,农用农药使用总量较2020年削减3%,主要农作物测土配方施肥技术覆盖率超90%,病虫害绿色防控覆盖率85%以上,秸秆综合利用率达到95%以上,废旧农膜回收率80%以上,农药包装废弃物回收率达80%。
实施畜禽养殖污染综合治理。调优畜禽养殖业结构,按照海安市畜牧业区域布局调整优化方案,全市畜禽养殖量按生猪当量折算,在保持稳定的基础上有所下降。不断提升大中型规模养殖比重和现代化生产能力,生猪大中型规模养殖比重2025年达80%。优化养殖场布局,对单位耕地面积畜禽承载压力较大的区域坚决调减养殖量,拟新建的养殖场向种植面积大、养殖密度低的区域规划。加强畜禽养殖场整治关停淘汰,开展禁养区及限养区养殖场整治,整治不达标的予以关停。加快畜禽治污设施建设,按照“过程控制无害化”的要求,落实畜禽养殖户污染治理的主体责任,按照“一场一策”原则,分重点、分阶段推进,重点治理污染明显、群众反映强烈的畜禽养殖场;针对小型畜禽养殖场,积极推进堆粪棚、污水收集池等基础设施建设,健全小型畜禽养殖场粪污收集和处置利用体系。推进生态养殖,开展标准化健康养殖示范,在农业园区、规模种植业基地配套建设农牧结合、生态循环畜禽养殖场,引导有机肥厂建设,鼓励农田施用有机肥,建设沼气发电企业周边农田配套管网,鼓励沼液灌溉施肥,水肥一体。推广标准化养殖,采用现代化养殖设施,提高养殖场自动化、智能化管理水平。从海安市向阳奶牛场、海安苏海生猪养殖有限公司、南通天成现代农业科技有限公司、江苏苏鹏禽业发展有限公司等大型奶牛、生猪和蛋鸡养殖场中选取条件较好的养殖场开展养殖设施标准化改造,建设畜禽标准化养殖场、大中型工程沼气、发酵床养殖推广工程,有机肥加工厂等,“十四五”期间,力争创建1个国家级“标准化养殖场”和2~5个省“生态健康养殖示范场”。到2025年,全市规模养殖场畜禽粪污处理设施配套率达到100%,畜禽粪污资源化利用率95%以上。
统筹水产养殖污染防治。结合《海安市养殖水域滩涂规划》,强化水产污染防治,综合水产养殖品种以及禁养区、限养区和适养区划分成果,依法有序实施禁养区水产养殖退出工作,确保2025年底前禁养区内的养殖行为全部退出。开展水产养殖污染调查,根据水体承载能力,确定水产养殖方式、规模、品种,调整沿海水产养殖结构和布局,科学确定养殖密度,优化水产养殖结构。积极推行生态养殖模式,充分利用科技培训等项目工作平台,指导养殖户优化养殖模式,积极探索传统与现代相结合的生态养殖模式。改进饵料成分及投饵技术、减少残饵量,提高饵料的利用率,加强水产养殖污染的监管,及时做好养殖区的水质监测和净化工作。持续开展水产健康养殖示范场以及水产良种场创建活动,强化水产养殖投入品监管,规范渔业投入品使用,严禁非法使用药物,着力推进渔业养殖提质增效。“十四五”期间,开展养殖尾水达标排放试点,推进池塘生态化改造,以试点区域为重点布设监测点,组织开展养殖尾水水质监测。督促养殖户落实尾水治理主体责任,严防未经处理、未达排放标准的养殖尾水向公共水域排放。
开展农田退水污染整治。加快高效节水灌溉建设及田间道路等“宜机化”改造,力争实现“退水不直排、肥水不下河、养分再循环”。开展重点地区农田退水水质监测,对直接影响断面稳定达标的沿岸农田进行种植结构调整和农田退水导流,引导断面所在河道两侧分散的小面积水稻种植农户改种其他作物。强化农田退水口排查,细致精准摸排农田退水口位置,做到心中有数,手中有方,为汛期落实应急管控措施打下坚实基础。积极探索农田退水缓冲带建设,以断面所在河道及主要支流为重点,因地制宜建设以灌木、草本植物、乔木等为主的生态缓冲带,提高净化地表径流功能。加快建设河道两侧退水导流沟,将稻田退水优先导流至有闸控的支流,无闸控的支流建设低位拦水坝,保证非汛期支流水不进入干流。加快桑园、蔬菜等旱作物农田沿河一侧围堰建设,确保整治范围内汛期农田地表径流不入河。实施农田退水和地表径流净化工程,开展红星灌区、新通扬灌区建设;实施农田退水生态净化项目,针对栟茶运河沿线地区农田退水对河道水质污染的问题,通过建设泵站、渠道以及沼液一体化装置,形成农田排水循环利用体系,改善农田退水对河道的污染。
五、推进工业水污染整治
加强工业园区水污染物排放限制限量管理。同步推进“三线一单”、规划环评、限值限量管理工作,逐步建立完善园区生态环境管理制度。结合生态环境政策集成改革试点,将常安纺织园作为先行园区,系统推进相关工作。一是开展制度创新,创新开展企业综合绩效评价,以上年度评价结果为依据,对企业实施分级管理,予以差别化的资源能源配置及政策支持,逐步提升园区企业绩效及入园门槛。创新废水总量“集中收储、动态管理”新模式,通过园区统一回购企业排污权,再由企业租赁使用,限量管控形成的富余排污权由园区统一收储,支持优质项目发展。二是基础设施建设升级,在园内污染源及环境质量监测监控能力建设基本到位的基础上,建成园区生态环境综合监管信息化平台,企业基础数据、环境在线监测数据及各类园区环境质量监测数据集成联网,实现“一园一档”,快速推进废水集中预处理及中水回用设施重大项目建设。
加强工业园区污水集中处理。继续开展省级及以上工业园区污水处理设施整治专项行动,开展全市重点排污单位雨水排口规范化建设专项整治;排查园区内污水管网建设和涉水企业纳管情况,强化工业园区管网的雨污清污分流规范化改造,重点消除污水直排和雨污混接等问题,绘制完整的管网图。加快实施“一园一档”,提高工业园区(集聚区)污水处理水平,加快推进工业废水和生活污水分类收集、分质处理,组织对废水接入市政污水管网工业企业的排查评估,经评估认定不能接入城市污水处理厂的企业,要限期退出;可继续接入的,须经预处理达标后方可接入,企业应当依法取得排污许可和排水许可,出水在线监测数据与城市污水处理厂实时共享。推行工业废水资源化利用,开展企业用水审计、水效对标和节水改造,推进企业内部工业用水循环利用,提高重复利用率。
加强园区特征水污染物管控。建立重点园区有毒有害水污染物名录,在电镀、印染等园区开展“一企一管,明(专)管排放”建设,配套相应常规指标、特征污染物在线监测设施、视频监控设施和水质反馈泵阀联动设施,严格监控重金属、抗生素、持久性有机毒物和内分泌干扰物等有毒有害物质,提升工业污水处理设施信息化管理能力。完善工业尾水排放生态缓冲区运行维护机制,通过人工湿地、生态滤池等方式,强化废水生物毒性削减,加强尾水深度处理和再利用,积极打造工业污水处理“绿岛工程”。
加强船舶港口污染治理。落实沿海、内河港口码头和船舶污染物接收、转移、处置工作,加大船舶生活污水、生活垃圾与城市环卫公共处理系统的有效衔接,加快建立船舶污染物“船-港-城”一体化处理模式。推广应用船舶水污染物联合监管与服务信息系统,落实船舶污染物接收、转运、处置联合监管和联单制度,实施防治船舶及其有关作业活动污染水域环境应急能力建设规划。强化水上危险化学品运输环境风险防范,严厉打击化学品非法水上运输及油污水、化学品洗舱水等非法排放行为,配备相应的应急防范设施并建立应急队伍。增强港口码头污染防治能力,巩固船舶港口专项整治行动成果,建立监督管理长效机制,加强码头的动态监管和岸线保护利用的日常巡查,严防已拆除的非法码头死灰复燃。推动港口建设完善船舶油污水接收处置设施,提高船舶生活污水、含油废水等接收处置能力。港口、码头应按规定接收船舶洗舱水,不具备接收能力的应委托第三方进行接收。
六、实施水生态保护与修复
全面组织实施区域治水工程。开展连片水系整治,全面打通断头河,以河长制为统领,按照“系统化思维、片区化治理、精准化调度、长效化管护”的思路,大力组织实施全市区域治水工程。加强与跨界区域合作,协同推进流域水环境综合治理,协同完善长江经济带共抓大保护工作新机制,共同落实《长三角生态绿色一体化发展示范区重点跨界水体联保专项方案》,推进跨界河湖周边及沿岸地区工业源、生活源、农业源、移动源污染治理,有效削减污染排放总量,推进共防共治。建立常态化活水机制,2022年底前实现全市域范围活水畅流。加快海绵城市的建设,完成海绵城市专项规划,打造以“修复水生态、涵养水资源、改善水环境、提高水安全”为多重目标的海绵城市,综合采取“渗、滞、蓄、净、用、排”等措施,分类推进海绵型住区、海绵型道路和广场、海绵型公园和绿地、海绵型水系水环境等建设,实现70%的降雨就地消纳和利用,到2025年底,完成10个海绵城市建设项目。
实施重点河道综合整治。全面开展骨干河道“消劣奔Ⅲ”行动,重点针对北凌河、栟茶运河等河道,建立定期监测机制,全面开展整治任务,推动全市水域环境质量整体提升。开展周济河1300米河道整治、立新河3360米河道综合整治。加快推进海安市建成区黑臭水体治理,巩固提升建成区黑臭水体整治成果,开展黑臭水体整治效果后评估工作,强化河道巡查和管护,做好水面岸坡的清理保洁,排口的动态管控和活水保质,注重补充生态流量,加强拆违清障、岸线修复,推进活水畅流,增强水体流动和自净能力。进一步巩固中心城区治水成果,以提升水环境质量为核心,以河道公园化改造为重点,力争到2022年底完成区域内河道公园化改造。构建综合生态廊道,加强丁堡河、栟茶运河、通扬运河、北凌河等重点河沿线整治,构建集水绿生态、江城景观和大型通风功能于一体的综合生态廊道。到2025年,建成2-3条生态美丽示范河湖,力争推出1个在全省乃至全国有影响力的生态美丽河湖典范。
推进入河排污口排查整治。建立“一河一档”、实行“一口一策”,有序推进监测、溯源、整治工作,开展入河排污口规范化建设。开展入河排污口排查,摸清底数,建立名录,将入河排污口列入动态监管,持续通过责任人日常巡查、企业自觉自查、群众举报督查等多种渠道拾遗补漏,及时发现并即刻整改没有合法审批手续或不能稳定达标排放的入河排污口。实施第三方有奖摸排,在前期排查整治基数上,邀请第三方力量精细排查,发现一处新增排口,开展监测溯源,予以奖励。实施重点排污单位雨水排口规范化整治建设,落实排污企业水环境防治责任,对企业雨污分流排放口实施有效的监督和控制,严厉打击污水通过雨水排口偷排、漏排等环境违法行为。到2022年底,完成通扬河、新通扬河、通榆河、焦港河、北凌河、栟茶运河、如海运河7条一级河道排污口排查、监测、溯源、整治。
深入推进水生态保护修复。严格河湖蓝线管控,合理利用岸线资源,开展河湖生态缓冲带划定,因地制宜制定管控要求,对不符合主导功能定位的生产、生活活动进行清理。按照《江苏省生态河湖状况评价规范》要求,开展重点河湖健康评价,推动河湖健康评估的制度化管理。组织开展水生态调查与评估工作,按照“守、退、补”的要求,划定水生态重点保护河段,开展重要水域增值和释放,围绕维护生态系统完整性、拦截面源污染、固堤护岸等需求,开展生态缓冲带建设试点。加强生态缓冲带管理,保护重点流域内主干河道自然植被带,在满足城市防洪和排涝功能的前提下,因地制宜对已有硬质驳岸实施生态化改造,加大河湖生物资源保护力度,保护水生物的多样化,根据水生生物完整性指数及重现土著鱼类、土著水生植物的水体清单等规划目标要求,组织开展水生生物增殖放流和生态修复等工作。以水源涵养区、生态保护区、重要湿地、河源区和脆弱区为重点开展水生态修复,退养还滩、退耕还湿,扩增河湖水域、湿地等生态绿色空间。深化区域生态补偿机制,推动实施镇域水生态补偿,实现市控以上断面所在河道补偿全覆盖。
第四节 坚持分类施策,有效改善土壤和农业农村环境
一、加强建设用地土壤污染风险管控和修复
强化重点监管企业风险防控。坚持预防为主、保护优先、分类管理、风险管控的原则,加强重点行业土壤污染情况排查,动态更新完善土壤污染重点监管单位名录。推进重点监管单位建立完善土壤污染防治工作台帐,将严格控制有毒有害物质排放、建立土壤污染隐患排查制度、制定并实施土壤和地下水环境自行监测方案等义务在排污许可证中载明。加强重点监管企业日常监管力度,定期对周边土壤和地下水环境进行监测,督促造成污染的企业及时采取风险管控措施。严格环境准入,防止新建项目污染土壤和地下水,把好涉及重金属和持久性、挥发性有机污染物建设项目的环评审批关口;加强重点监管单位新改扩建项目环境影响评价管理,依法依规开展土壤和地下水环境现状调查,落实污染防治措施。到2025年底,土壤污染重点监管单位排污许可证应当全部载明土壤污染防治义务。
加强遗留地块调查和监管 。加强腾退工业用地土壤污染风险管控,落实污染地块环境管理联动机制,结合重点行业企业用地调查结果,开展从事过化工、电镀、印染等重点行业及危险废物利用处置活动等关闭搬迁遗留地块的土壤污染状况排查,特别加强对“四个一批”化工行业整治以及化工企业关停搬迁遗留地块的排查,建立污染地块名录及开发利用负面清单,完成全市污染地块“一张图”。对重点行业企业用地调查确定的优先管控名录内的地块,依法督促土地使用权人开展土壤污染状况调查。
强化土壤污染风险管控和修复 。建立土壤污染责任追溯制度,按照“谁污染、谁治理”的原则,依据《建设用地土壤污染责任人认定暂行办法》,明确治理与修复责任主体。以用途变更为住宅、公共管理与公共服务用地的污染地块为重点,严格落实风险管控和修复。以重点地区危险化学品生产企业搬迁改造等遗留地块为重点,加强腾退土地污染风险管控和治理修复。以金属表面处理及热处理加工、基础化学原料制造、专用化学品制造等行业企业为重点,鼓励采用污染阻隔、监测自然衰减等原位风险管控或修复技术,探索污染地块“环境修复+开发建设”模式。强化风险管控和修复工程监管,加强施工期污染防治,重点防控转运污染土壤非法处置、农药类等污染地块风险管控和修复过程中产生的异味等二次污染。定期开展已修复土壤地块治理与修复成效综合评估,确保污染土壤修复成效。
加强污染地块安全再利用监管 。严格建设用地再开发准入,合理安排开发利用时序。加强建设用地在开发利用管理,列入建设用地土壤污染风险管控和修复名录的地块,不得作为住宅、公共管理与公共服务用地,2021年起,在土地出让以及房地产出售等环节,土地使用权人应公开地块原土壤污染状况及污染治理和修复情况。加强污染地块再开发和使用时序的监管,涉及成片污染地块分期开发的,以及污染地块周边土地开发的,合理安排土地供应及相关规划许可证发放时序,防止受污染土壤及其后续风险管控和修复影响周边拟入住敏感人员,防止引发负面舆情。实施污染地块跟踪管理,加强实施情况第三方评估,确保污染地块风险得到有效防控。
二、加强农用地土壤污染风险管控和修复
强化农用地分类管理。依法落实耕地分类管理要求,建立优先保护类耕地保护措施清单,加大耕地保护力度,将符合条件的优先保护类耕地划为永久基本农田,依法实行严格保护,推行有机肥增施、少耕免耕、粮豆轮作等措施,确保土壤环境质量不下降。将列入严格管控类且无法恢复治理的永久基本农田范围内的耕地,按照国家、省统一部署,进行整改补划。根据土壤环境质量开展例行监测、农用地重点地块监测、农产品检测、治理修复效果评估等结果,结合土地利用变更、耕地土壤环境质量变化等情况,实行耕地土壤环境质量动态管理。严格控制将曾用于生产、使用、贮存、回收、处置有毒有害物质的工矿用地复垦为食用农产品耕地。建立耕地质量监测和等级评价制度,集成推广绿色生产、综合治理的技术模式,在确保粮食安全和农民收入稳定增长的前提下,实施土地整治,十四五期间推进17.92万亩高标准农田建设,保证耕地质量。
严控新增耕地土壤污染 。深入推进农用地土壤污染状况详查、农产品产地土壤重金属污染普查、多目标区域地球化学调查等土壤调查原始数据共享,深入推进农用地土壤污染状况详查成果集成和应用。持续推进全市涉镉等重金属重点行业企业污染防控,动态更新重点区域和污染源整治清单,深入开展工业企业污染源排查整治,严厉打击涉重金属企业非法排污行为,切断重金属污染物进入农田的链条,降低农产品镉等重金属超标风险。加强农药、肥料、农膜等农业投入品使用管理,转变病虫草害防控方式,大力推进绿色防控,推进农业投入品包装废弃物回收及无害化处理,控制和减少农业生产活动对耕地造成污染。
持续推进受污染耕地安全利用。充分利用耕地土壤环境质量类别划分成果,查明农用地土壤污染的面积、分布及其对农产品质量的影响,开展耕地土壤污染成因排查与分析,分类实施污染耕地土壤治理与修复,实施土地综合整治示范工程。加强严格管控类耕地的用途管理,划定特定农产品严格管控区,严禁种植食用农产品,有序采取种植结构调整、生态休耕、退耕还林还草等措施,确保全市严格管控类耕地得到安全利用。完善轻中度污染耕地安全利用实施方案,突出重点区域、重点作物、重点元素,分类分区分级精准施用技术措施,优先采取农艺调控、低积累品种替代、土壤调理等技术,巩固提高安全利用成效,确保农产品质量安全。鼓励在切断污染源的前提下,试点开展以降低土壤中污染物含量为目的的污染耕地修复工作,着力推进“红区”销号、“黄区”转“绿”。加强土壤和农产品协同监测,及时评估安全利用与治理修复效果,动态调整土壤环境质量类别,并将清单上传至土壤环境信息化平台。
三、全面加强地下水生态环境保护
严格地下水管理和保护。充分发挥地下水资源在保障供水、涵养水源、维护生态环境安全等方面的作用,切实加强地下水管理和保护,统筹安排浅层地下水、深层地下水的开发利用,严格执行地下水水位控制红线,划定地下水禁采区和限采区,规范保留井和应急备用井的管理,明确保留井和应急备用井保护区范围,开展井台标准化建设,建设地下水水位、水质在线监测系统,全面实行“水量、水位双控制”管理。组织开展新一轮地下水压采方案的编制,制定地下水压采计划,依托区域供水工程,逐步封填深层地下水井,有效控制深层地下水开采量,保护地下水资源。到2025年,严格控制地下水开采量在0.08亿立方米以内。
开展地下水环境状况调查评估。贯彻执行《江苏省地下水污染防治实施方案》,按照《地下水污染防治分区划分工作指南》要求,完成全市地下水污染防治分区划分工作,明确地下水污染分区防治措施,实施地下水污染源分类监管,做好土壤和地下水污染协同监管,有力推进全市地下水污染防治工作。开展地下水环境状况调查评估,通过开展现状排查分析、地下水源及重点污染源监测调查等工作,摸清重点区域、重点污染源的地下水环境质量。根据国家及省统一要求,逐步构建地下水污染管控体系。择优支持一批试点项目,做好地下水防治项目储备库建设,探索工作经验。
加强重点区域风险防控。重点调查工业集聚区水文地质条件、地下水污染源分布及地下水环境质量现状,结合区域整体发展布局和规划,识别地下水环境风险与管控重点。充分衔接土壤污染状况详查和第二次污染源普查工作成果,掌握重点污染源(区域)地下水监测井建设维护和自行监测工作开展情况,建立信息清单。加强重点区域风险防控,开展“一企一库”“两场两区”等地下水重点污染源防渗及水质监测情况排查,建立地下水污染隐患排查制度和监测预警体系,实施地下水污染风险管控。化学品生产企业、危险废物处置场、垃圾填埋场等申请排污许可证时,载明地下水污染防渗和水质监测相关义务,建设地下水水质监测井开展日常监测。加强控制危废经营单位地下水污染,督促上海电气南通国海环保科技有限公司、兆德(南通)电子科技有限公司、海安乾鼎物资回收有限公司、南通环瑞再生资源有限公司、南通安能再生资源有限公司、海安天楹等离子体科技有限公司定期开展环境安全性能评估。
开展地下水污染修复工作。组织实施污染企业(区域)地下水信息调查与试点监测,全面梳理辖区内化工、石化、涉重类重点污染源,做好地下水污染达标整治。开展范雪琴潜井地下水点位达标整治,分析排查原因,制定整治措施,实施达标整治行动。按照“谁污染谁修复、谁损害谁赔偿”的原则,加强土壤、地下水污染协同治理模式。安全利用类和严格管控类农用地制定污染防治方案时,应统筹考虑地下水保护;污染物含量超过土壤污染风险管控标准的建设用地编制土壤污染状况调查报告时,应当明确地下水污染情况;列入风险管控和修复名录中的建设用地实施风险管控措施时,应包含地下水污染防治内容;实施修复地块的修复方案中应包括地下水污染修复。
四、深化农业农村环境治理
深入推进农村生活污水治理。有序推进污水治理设施建设,根据农村不同区位条件、村庄人口聚集程度、污水产生规模,因地制宜采用污染治理与资源利用相结合、工程措施与生态措施相结合、集中与分散相结合的建设模式和处理工艺,探索符合海安农村特点、可复制可推广的污水治理新模式。加快行政村村所在地村庄生活污水收集处理设施建设,对城镇周边和邻近城镇污水管网的村庄,优先考虑将村庄生活污水接入城镇污水处理厂统一处理;对不具备接管条件、居住相对集中且排放标准要求较高的村庄,建设治理设施进行集中处理;对居住相对分散或管网建设难度较大的村庄,开展分散农户生活污水治理示范村建设,就地就近对单户或多户生活污水进行收集后,通过分散式的治理设施进行处理。对尚未建成污水处理设施的村庄和管网未覆盖的地区,按照“应收尽收”的原则,严格落实临时暂存、拖运处置等应急处理措施,坚决杜绝污水直排入河,完成栟茶运河、北凌河两侧1公里范围内集镇区、集中居住区生活污水收集处理,优先实施撤并老集镇所在地村庄、一级河道沿线。健全污水设施运行管护机制,对已建农村生活污水治理设施进行全面梳理排查,建立问题清单和整改清单,提高农村生活污水处理设施运维水平,持续开展农村生活污水处理设施“回头看”行动,不断提升设施正常运行率。到2025年,全市行政村生活污水治理率达100%,自然村生活污水治理率达60%,农村生活污水治理农户覆盖率达60%,污水处理设施正常运行率达100%。
加大农村黑臭水体整治力度。落实《关于进一步加快农村黑臭水体排查治理工作的通知》(通河长办〔2020〕6号),按照“摸清底数、试点示范、全面完成”顺序,全面系统治理农村黑臭水体。编制农村黑臭水体综合治理方案,实施农村生活污水社会化治理试点建设。严肃查处非法围垦河道及向河道排放污水、倾倒废弃物行为,加大小微水体清淤疏浚力度,消减农村“毛细血管”型河道的内源污染,提升水体自净能力。推进农村黑臭水体整治工程实施,2021年底,完成38农村黑臭水体整治,整治长度52km。建立长效机制,继续强化“河长制”工作,建立信息报送、信息公开、工作督察与督办等工作制度,探索实施电子化巡河、社会化评价机制,落实所有河渠塘坝责任到人,推动农村水体管护常态化、规范化、精细化。到2022年,基本消除农村黑臭水体。
加强农村生态河道建设。大力实施全市农村河道疏浚整治工程,加大生态河道建设和农村河道保洁工作力度,重点实施农村骨干河道生态治理,同时建立河道长效保洁机制,有效维护农村河道水系水质。至2025年,对全市387条县乡河道实施河道疏浚、岸坡整治、绿化植被、河道管护等综合整治措施。其中实施县级河道38条,乡级河道349条。着力构建“政府牵头、部门配合、责任明确、措施到位”的农村河道长效管理新机制,严格落实管护责任,树立管护公示牌,明确管护目标和管护责任,确保农村河道常年保持河面、河岸清洁。规划期内,建设农村生态河道18条,其中县级河道1条,乡级河道17条。
加强农村生活垃圾分类处置。按照“减量优先、鼓励分类、城乡统筹、综合治理”的原则,大力推动农村生活垃圾分类和资源化利用工作,推行市场化保洁,有效落实有机垃圾就地生态处理。多措并举宣传农村生活垃圾分类,构建“政府主导、企业主体、全民参与”垃圾分类体系,引导村民分类投放,实现源头减量。加快建设农村生活垃圾分类投放、分类收集、分类运输和分类处置设施,补齐处理能力短板。优化垃圾收运处置设施布局,完善农村生活垃圾处理系统,推进城乡环卫一体化。加快更新改造落后的垃圾中转站,按标准配齐处置施,基本实现集镇区生活垃圾处置的全域化、长效化、一体化,积极打造全省垃圾治理示范城市。深化“厕所革命”,开展改厕工作回头看,实施农村改厕补短板工程,全面取缔旱厕,科学安排农村公厕,加强改厕与农村生活污水治理的有效衔接。到2025年,实现农村生活垃圾收运处理体系全覆盖,农村无害化卫生户厕普及率达97%以上。
加快推进江苏省特色田园乡村建设。加快推进乡村振兴示范村、先进村建设试点建设,提升乡村建设质量和品位。从符合乡村特色出发,优化镇村布局规划,进一步优化山水、田园、村落等空间要素,加强重要节点空间、公共空间、建筑和景观的详细设计,彰显地域特色和乡村风貌。深入开展村庄清洁行动,做好农村清洁供暖改造、老旧危房改造,清理积存垃圾、农业废弃物和无保护价值残垣断壁,充分利用现有沟、塘、渠等,开展农村河道疏浚及生态河道建设,因地制宜对河道进行特色化改造。深入推进乡镇和自然村庄绿化美化,突出乡土特色,以村旁、宅旁、路旁、水旁为重点,优先选用乡土树种,推进村庄绿化建设,提升绿化质量,普遍实现乡镇镇区和自然村庄道路、河渠、公共空间、房前屋后等宜林地绿化基本覆盖。到2025年,三分之一以上的农村等级河道建设成为生态美丽河道,建成省水美乡镇1个,省水美乡村3个,力争15个村入围省市特色田园乡村建设试点,建成28个以上南通市乡村振兴示范村、50个以上乡村振兴先进村,美丽宜居乡村建成率超过90%。
第五节 践行“两山”理论,稳步提升生态系统质量
一、优化国土空间开发保护格局
建立健全国土空间规划体系。以资源环境综合承载能力和国土空间开发适宜性评价为前提,坚持国土空间规划和总体城市设计双引领、全覆盖,建立适合海安的“五级三类四体系”国土空间总体规划、各镇国土空间规划、控制性详细规划、专项规划,建立国土空间编制审批体系、技术标准体系、法规政策体系、实施监督体系。形成全市国土空间开发保护“一张图”,加快构建生态空间集约高效、生活空间宜居适度、生态空间山清水秀、可持续发展的高品质国土空间格局。合理布局城镇、农业和生态空间,统筹协调城镇乡村与水林田湖草等自然环境的布局关系。整体形成“一心、一轴、四区、六廊”的国土空间总体发展格局。“一心”指海安中心城区,“一轴”指沿328省道的主要城镇发展轴,“四区”指中心产业集聚区、里下河生态农业区、西南特色农业区、沿海绿色旅游农业区,“六廊”指六条主要生态廊道及生态保护区。以国土空间规划为依据,对海安市国土空间分区分类实施用途管制,加强对重点片区空间布局和开发建设时序的引导与管控,强化基础设施、产业平台、生态环境等方面的衔接融合和有序推进。
全面完善“三线”管控体系。完善生态保护红线、永久基本农田保护线和城镇开发边界的“三线”管控体系,纳入全市统一、多规合一的国土空间基础信息平台,作为经济结构调整、规划产业发展、美丽宜居城市建设不可逾越的红线。一是严格管控生态保护红线,严格落实《江苏省国家级生态红线保护规划》和《江苏省生态空间管控区域规划》,严守海安市新通扬运河(海安)饮用水源保护区和老坝港旅游休闲娱乐区2个国家级生态红线,加强海安境内生态空间管控区域保护与监管力度,确保生态功能不降低、面积不减少、性质不改变。二是严格保护永久基本农田,全面落实永久基本农田特殊保护制度,按照划定的永久基本农田保护红线,从严管控非农建设占用永久基本农田,确保永久基本农田保护面积不减少、质量有提高、布局基本稳定,将基本农田保护落地到块、责任到户;建立永久基本农田动态监管机制,全面运行“智慧国土天眼”系统实时监控永久基本农田,将永久基本农田划定成果纳入国土资源遥感监测“一张图”和综合监管平台,作为土地审批、卫片执法、土地督察的重要依据,对永久基本农田数量和质量变化情况进行全程跟踪,实现永久基本农田全面动态管理。三是严格遵守城镇开发边界,在海安市城镇开发边界内的建设,实行“详细规划+规划许可”的管制方式;在城镇开发边界外的建设,按照主导用途分区,实行“详细规划+规划许可”和“约束指标+分区准入”的管制方式。加强城镇空间开发利用管制,严禁突破城镇开发边界红线,倒逼城镇发展模式转型升级,促进节约集约用地。建立城镇开发边界动态监测机制,加强遥感卫星监测和土地巡查。建立城镇开发边界地理信息平台,实现数据共享和信息化动态管理。
推进国土绿化行动。优化绿地系统结构,扩大城市绿色空间,均衡城市公园绿地布局,打造高水平的“城市公园绿地10分钟服务圈”。大力推广垂直绿化、屋顶绿化、桥柱绿化等城市立体绿化,拓展绿化空间,提高绿视率。以铁路、高速公路、国省道为重点,大力推进更新造林、补植增绿、景观优化等,打造公、铁、水、港综合交通靓丽风景线。实施奥体公园、森林公园、船闸公园二期、通榆河景观带(丹虹路-东洲公园)、立新河景观带(通扬河-东海大道)等园林景观工程。完善城市水系绿化生态网络,强化七星湖、上湖等重点河湖水体畅活、污染控制和生态养护,打造沿水生态隔离带与生态廊道,市区所有水体周边区域实现绿化全覆盖,90%以上的河道形成生态型驳岸。结合沿海、沿湖、沿河等绿化工程,合理布局绿核、绿楔、绿环、绿廊、绿带,构建多层次、多功能、复合型的网络化生态绿地系统。加强城镇绿化建设与管理,重点加强背街小巷绿地养护管理,保护中心城区稀缺绿化资源,加强居住区绿化监管,保证城市绿地完整性和景观性。
严守基本农田保护。实行最严格的耕地保护制度,严守基本农田保护红线,强化准入管理和底线约束,确保全市基本农田总量不减少、用途不改变、质量有提高。针对农业资源与生态环境突出问题,因地制宜制定禁止和限制发展产业目录,明确种植业、养殖业发展方向和开发强度。实施土地综合整治示范工程,强化耕地数量和质量占补平衡。持续优化耕地和基本农田空间布局,开展永久基本农田规划调整试点,对国土空间规划中确定的城镇开发边界、生态保护红线内的零星永久基本农田实行布局调整,着力提高永久基本农田质量和集中连片程度。
提升土地开发利用效率。坚持节约集约,推动城镇发展由外延扩张、向内涵提升转变。促进低效用地腾退更新,腾笼换鸟,推进战略新兴产业落地。深入实施差别化资源要素配置政策,完善年度用地、用能、排放等资源要素分配与市“亩均效益”绩效挂钩的激励约束机制,突出“以亩均论英雄”。推动节地水平、产出效益“双提升”,盘活存量土地,推动土地二次开发。建立全市“土地资源库”,大力盘活存量建设用地,提高工业用地准入门槛,探索低效工业用地再开发机制,深挖市区用地潜力,加快城中村改造与旧城更新。严格执行建设用地集约利用标准,提高工业用地投资强度,争创“国土资源节约集约利用模范县(市、区)”。实施城镇低效用地再开发利用,鼓励海安老坝港滨海新区、海安高新技术产业开发区、海安经济技术开发区内企业利用自有存量土地和厂房“退二优二”“退二进三”,推进乡村全域土地综合整治与生态修复。到2025年,单位GDP建设用地占用面积下降率达到5.53%以上。
二、加强生态安全体系构建
构建“三线一单”空间管控体系。按照“守底线、优格局、提质量、保安全”的总体思路,以改善生态环境质量为核心,建立覆盖全市的“三线一单”生态环境分区管控体系,提升生态环境治理体系和治理能力现代化水平,推动全市生态文明建设迈上新台阶。根据《南通市“三线一单”生态环境分区管控实施方案》(通政办规〔2021〕4号),海安市优先保护单元7个,重点管控单元69个,一般管控单元14个,共计90个。强化“三线一单”分区管控的刚性和约束性,落实三类管控单元(优先保护单元、重点管控单元、一般管控单元)在空间布局约束、污染物排放管控、环境风险防控和资源利用效率等方面的差异化管控要求,把环境管控单元及生态环境准入清单作为区域内资源开发、产业布局和结构调整、城镇建设、重大项目选址的重要依据。
严格落实生态空间管控。按照生态功能不降低、面积不减少、性质不改变的要求,严格落实国家生态红线、省级生态空间管控区要求,完成国家生态红线和省级生态空间管控区域划定和勘界立标,加快建立生态保护红线监管平台。严守规划分区管控,对照《江苏省国家级生态保护红线规划》《江苏省生态空间管控区域规划》《江苏省生态空间管控区域监管办法》《南通市生态红线区域保护监督管理暂行办法》要求,实施分级分类差别化管控,完善生态空间保护区域现状调查评估成果,积极运用评估成果开展保护区域内违法违规项目清理整顿。实行最严格的产业、环境及用地准入制度,逐步退出与生态保护功能无关的建设用地,加强生态空间保护区域执法监管,禁止或限制在生态空间内的开发活动。完善以国家公园为主体的自然保护地体系,建立自然保护地科学评估体系,开展自然保护区优化和保护成效评估。持续开展“绿盾”自然保护地强化监督专项行动,加强自然保护地内人类活动监控监测,禁止破坏主导生态功能的开发建设活动,坚决查处破坏生态空间的违法违规行为。
推进生态安全缓冲区建设。以自然生态保护和修复为核心,以小流域和小区域为单元,统筹考虑城乡发展本底和自然生态环境现状,在城市近郊、工业集聚区周边等区域,整合湿地、水网等自然要素,因地制宜建设生态安全缓冲区,提高生态空间抗风险能力。科学划定区域内河流、林木等生态脆弱区域,建立海安市自然生态保护修复行为负面清单。以城镇污水处理厂尾水生态净化工程为重点,积极推进“生态净化型”生态安全缓冲区建设,实现减污扩容、生态修复有机融合,有效降低治污成本,加快推进海安城市污水处理有限公司生态安全缓冲区改建工程,对厂区原有氧化塘、沸石床实施改造,利用生态河道开展缓冲区建设,设计水量2.5万m3/d,实现尾水水质深度净化。结合生态修复和保护工作,探索建设生态涵养型、生态修复型水系岸线,进一步腾退土地、实施生态复绿,大力推动生态廊道建设。在重要河流入海口处,通过修筑生态岸线、建设浅滩湿地、退渔(田)还湿、种植耐污植物等途径构建生态安全缓冲带。
三、加强重要生态系统保护与修复
推进山水林田湖草系统保护与修复。开展生态文明示范创建,统筹考虑自然地理单元的完整性、生态系统的关联性、自然生态要素的综合性,开展山水林田湖草多自然要素整体保护、系统修复、综合治理,形成一批生态修复示范工程。重点实施河湖和湿地保护修复、退耕还林、退田(圩)还湖还湿、防护林体系建设、矿山生态修复、水土流失综合治理、土地综合整治等重要生态系统保护修复工程,打造规模相对集中连片的耕地、湿地、绿地、林地生态系统复合格局,维护自然生态系统完整性、原真性。严格落实《山水林田湖草生态保护修复工程指南》中有关自然保护地核心保护区、生态保护红线内其他区域及一般生态空间内保护修复行为的相关要求。以“生态优先、合理开发、因地制宜”为原则,构建覆盖全市的绿色生态廊道体系,推进山林生态绿廊、滨河景观绿廊、滨海风情绿廊等三条绿廊建设,串联沿线重要的森林、田园、人文旅游资源,突显“山、海、湖、城”共融共生的生态景观格局。着重构建“两区八带多点”的景观生态网络结构。“两区”指西部水网景观区和东部滨海景观区;“八带”指新、老通扬运河、栟茶河、如海运河、北凌河、通榆河、串场河、焦港河等景观带;“多点”包括特色人文景观节点、生态休闲景观节点和滨海产业景观节点。
强化海岸带生态保护与修复。严格落实“海洋开发与生态保护并重、护海维权与加快发展并举”的要求,加强海滩湿地资源保护,加强海堤、入海口的管理和保护。推进“蓝色海湾”整治,开展退围还海还滩、岸线岸滩修复、河口海湾生态修复等典型海洋生态系统保护修复,种植本地特色滨海植物物种,恢复海岸带自然植被,防治外来物种入侵。根据《海安市老坝港海岸线整治生态修复方案》,有序开展老坝港海岸包括堤顶生态廊道种植、平台景观改造、边坡挂网客土喷播试验、堤外湿地修复等生态整治修复工作,加强入海通道的生态化建设,在主要入海河口种植海底及潮间带植物,利用入海河口湿地的净化功能,吸收降解污染物,并逐步恢复和重构海岸带生态系统。加强沿海生态景观带建设,深化陆海统筹、港产城融合发展。构建沿海防护林体系,加强沿海公益林建设。整合沿海滩涂湿地资源,加大海滨湿地、海湾等生态系统保护力度,构建滨海湿地生态廊道网络体系,提升海岸带生态系统服务功能和防灾减灾能力。因地制宜开展海岸线整治修复行动,恢复沿海大陆自然岸线,将江海湿地等重要生态节点区域优化调整为生态自然岸线,依法保护自然岸线,强化重点段海堤设计,打造5.4公里“面朝大海、春暖花开”的最美海岸线。
有效增加生态系统碳汇能力。推进国土绿化行动,整体绿化与彩色化、珍贵化、效益化相结合,推进国省干道、铁路、沿河绿色廊道建设。提升林业系统碳汇能力,加强林业建设,实施沿海防护林体系、沿河湖防护林体系、高标准农田林网、绿色通道、绿色家园等重点林业工程,增加森林资源总量。加快造林绿化步伐,加强林业资源管理与灾害防控,开展森林抚育经营,实施中幼龄林抚育和低效林改造,全面提高单位面积林地的蓄积量,实施林地林木与生态公益林保护、野生动植物保护、林业有害生物防控等工程。提升湿地系统碳汇能力,加强沿海滩涂湿地保护,扩大自然湿地保护面积,加强湿地公园、湿地保护小区建设,优化湿地生态系统结构,维护湿地生态系统碳平衡,增强湿地储碳能力。探索开展海洋等生态系统碳汇试点,以海岸带生态保护为重点,大力发展碳汇渔业。到2025年,完成造林绿化面积10000亩。
强化噪声污染控制。强化声环境源头管控,强化声环境功能区管理,在国土空间规划与建设中落实声环境功能区要求,从布局上解决噪声扰民问题。加强声环境质量监测,优化完善区域噪声地图,为政府部门制定精准化的噪声防控政策提供支撑,保障公民知情权。全方位加强噪声污染防治,加强交通噪声污染防治,新建、改扩建交通建设项目严格执行环境影响评价制度,综合采取建设声屏障、安装降噪装置、种植绿化带等措施减轻交通噪声污染。加强建筑施工噪声执法监管,强化夜间施工环保管理,倡导文明施工;综合采取消声、吸声、隔声等措施,有效防控工业噪声污染。强化社会生活噪声管控,研究制定公共场所噪声控制规约,引导市民“广场舞”文明活动不扰民。
四、强化生物多样性保护
实施野生动植物资源保护工程。加强生态公益林保护,重点记录保护区域内保护植物物种及古树名木。针对不同河段或滨海湿地特征,因地制宜配置湿地植物种类,选择以自然修复为主、人工种植为辅的植物恢复模式,增加植物多样性,增强湿地生态系统稳定性。科学制定重点增殖水域的增殖放流规划,持续开展渔业资源增殖放流,调整生态结构。加强“两区八带”生态廊道建设,促进物种资源交流,重点加强里下河重要湿地等鸟类栖息的核心保护区域的保护与建设,在满足养殖业高效益、集约生产的同时,按照适宜水鸟栖息的要求,科学规划,保留足够生态空间为迁徙水鸟提供良好的栖息地和觅食地。健全野生动物收容救护体系,提高野生动物收容救护水平。全力维护和保持滨海湿地生态的自然演替规律,对重要生态系统和物种资源实施强制性保护,珍稀濒危野生动植物及自然生境得到有效保护。
积极开展生物资源的动态监测。全面加强保护管理体系、资源监测体系、科学研究体系建设,实现对重要野生动植物资源的动态监测。积极开展生物资源的动态监测,掌握珍稀物种资源的种类、分布、生境状况、濒危程度及威胁因子,全面了解物种资源的变化态势,实施生物多样性保护战略与行动计划。提升野外监测能力,完善野生动物疫源疫病监测防控体系,进一步提高基层应对突发野生动物异常情况的能力和水平。
加强外来入侵物种的防范和控制。定期对辖区内外来物种引进和应用情况进行检查,防止外来生物特种通过携带传入本地区。加强对外来入侵生物的防治技术研究,继续开展外来入侵生物综合防治工程,加大互花米草等外来入侵生物的防控。在全市组织开展凤眼莲、空心莲子草、加拿大一枝黄花、福寿螺等重大外来入侵物种铲除活动,确保自然资源生态系统资源安全、环境安全和生态安全。建立防御、早期监测及预警体系,建立快速反应与快速信息共享体系,对引入的外来物种都要进行严格的风险评估,防止外来物种入侵,落实动植物防疫工作,完善动植物隔离检疫设施。
强化生物多样性保护人才队伍建设。加强生物多样性保护领域不同层次的人才培养,积极开展对重要保护物种的生态、生物学、人工繁殖、栽培技术研究,加快重要野生保护物种向人工培育物种发展。加强生物多样性保护宣传教育,鼓励和指导公众自发开展生物多样性保护工作,提高公众保护意识,建立公众参与机制。
第六节 坚持系统构建,有效防范生态环境风险
一、提高固废危废风险防范水平
落实固废危废源头控制。推进源头减量和资源化利用,最大限度减少填埋量,形成绿色发展方式和生活方式。排查源头风险,持续开展固废普查、危险废物处置专项整治行动。大力推动建筑垃圾和工业固体废物循环利用,不断提高资源再生率和再利用水平,加强企业内部、园区企业间物料闭路循环。结合落后产能淘汰工作,关、停、并、转产废量大的污染企业,坚决关闭规模小、污染重、危险废物治理难度大的企业。严格控制产生危险废物的项目建设,禁止审批无法落实危险废物利用、处置途径的项目,从严审批危险废物产生量大、本地无配套利用处置能力。开展危险废物“减存量、控风险”专项行动,建设绿色制造体系,落实强制性清洁生产审核制度,推进危险废物“点对点”应用改革试点,鼓励企业对有利用价值的危险废物降级梯度使用。
加强一般工业固废处置利用。加强一般工业固废综合利用和处置设施建设,强化全过程监管。以电力、化工等行业为重点,通过技术进步,促进固体废物全过程减量化。大力发展工业废渣有价资源回收技术,积极拓展和延伸一般工业废物综合利用的产业链,加强政策引导和扶持力度。以粉煤灰、炉渣、脱硫石膏等大宗工业固废的综合利用为重点,全面推进工业固体废物跨行业、跨区域的资源化利用和信息交换管理平台建设。“十四五”期间,保持工业固体废物处置利用率不低于100%。深化污泥无害化处置,启动固废处置中心建设,总投资1.4亿,处理规模达100t/d(含水率80%)+200t/d(含水率60%),采用“污泥干化+协同焚烧”处置工艺,干化后的污泥运送至常安能源热电厂循环流化床式焚烧炉进行焚烧处置,禁止不达标的污泥进入耕地,取缔非法污泥堆放点,严格执行污泥转运“联单制”,污泥运输车船安装GPS,强化污泥处理处置全过程监管。
提升危险废物利用处置能力。落实《南通市危险废物集中收集贮存试点实施方案》,在全市形成较为完善的小微危险废物收储体系,有序推进常安纺织产业园和东部家具城两处试点,根据危废专项整治排查过程中小微企业的分布情况,在全市范围内分区域合理布点,从根本解决小微企业贮存难,处置难的问题。在2022年底前,实现小微危废和部分类别危废收集区域全覆盖。推进危废集中贮存试点,加快推动危险废物处置项目建设,新增危险废物焚烧处置能力3万吨/年、填埋2万吨/年、废盐资源化装置0.25万吨/年,危险废物安全处置率保持100%。加快医疗废物本地化处置能力的建设,合理规划并加快建设医疗废物处置中心,实现医疗废物统一收集、统一处置。支持天楹股份建成集研发、示范、推广为一体的国家级固废资源化处理处置示范基地,推广等离子熔融技术应用,解决废盐、飞灰处置难等问题,到2025年,医疗废物处置利用率达到100%。
完善固废危废监管体系。推进一般工业固体废物产生、转移、处置情况在线申报系统建设,建立一般工业固体废物全过程监控体系。加强危险废物全生命周期监管,探索建立异常情况自动报警机制。推动信息化监管,采用视频监控、车载GPS、二维码等手段建立健全覆盖危险废物、医疗废物产生、贮存、转移、处置全过程的监管体系和一体化信息化监管服务平台,形成“来源可查、去向可追、监督留痕、责任可究”的完整信息链条。畅通企业申报、处置危废途径,实行危废监管与执法检查信息联动,联合交通运输和海事部门切实消除船舶残油污染物监管盲区和环境安全隐患。建立危险化学品运输企业危化品贮存品种、数量动态管理清单,强化对危化品运输企业监管,确保危险废物规范化管理考核达标率达90%以上。建立一般固废和危险废物“一企一档”信息化动态管理和工作情况定期报送制度,确保月申报率达100%。
健全生活垃圾收运处置体系。加强生活垃圾分类处置能力建设,补齐生活垃圾分类收集和分类运输能力短板,统筹规划建设生活垃圾终端处理利用设施,推动建立集垃圾焚烧、餐厨垃圾资源化利用、再生资源回收利用、垃圾填埋、有害垃圾处置于一体的生活垃圾协同处置利用基地。严格进厂(场)垃圾管控,加强对进厂生活垃圾的检查,杜绝危险废物和不符合入厂条件的一般工业固废进入生活垃圾终端处理设施。强化对处置混入一般工业固废的生活垃圾终端处理设施主要污染物排放情况的监管,加快推进焚烧厂信息化、智能化监管,实现生产和污染物排放全过程实时监控。开展白色污染治理行动,限制生产、销售、使用一次性不可降解的塑料袋、塑料餐具、宾馆酒店塑料用品、快递包装等,普及可降解塑料制品应用,推进塑料污染全链条治理。制定完善生物基可降解塑料终端制品技术规范,加大聚乳酸、聚丁二酸二醇酯等可降解替代品的研发及推广力度。
二、强化化工企业环境风险防控
强化化工企业环境保护体系规范化建设,加快企业污染物治理设施建设及升级改造,推进应急事故池建设,加强污染物拦截处置应急物资储备,推动化工企业整体封闭管理,实现人员、车辆、装备和物资可控。开展环境敏感区内化工企业退出或搬迁,2021年底前,完成通榆河一级保护区内富阳乙炔气体有限公司搬迁。将化工企业纳入土壤重点监管单位名录,每年按要求开展土壤和地下水自行监测,要求部分企业开展周边土壤及地下水环境监测。定期开展全市化工园区所有企业(含已关停企业、已取消定位的园区)执法检查“回头看”,强化问题督查并构建长效机制。运用无人机、走航车、遥感、监测等手段对化工企业、周边水体开展“天地空”一体化侦查,防范化解关闭退出企业环境风险。完善企业信息管理平台,确保重大危险源在线监测率100%,实现风险隐患“一表清、一网控、一体防”,逐步建立集安全、环保、应急救援和公共服务一体化的信息管理平台,实现化工企业智慧化运营和管理。
三、加强重金属环境风险防控
全面排查全市重金属污染源,推进涉重企业改造提升,开展涉重企业定期强制性清洁生产审核,实现节能减排、减污增效。深入开展重金属污染状况评估,确定海安市重点企业和高风险人群,制定区域重金属环境质量监测方案,制定重点区域污染综合防治实施方案。列入土壤环境重点监管企业名单的涉重企业,每年自行或委托有资质的环境检测机构开展用地土壤和地下水环境监测,并将监测结果向社会公开。开展全市电镀行业专项整治,防范铅蓄电池生产死灰复燃。实施全过程管理和多污染物协同控制,强化废水、废气治理和固体废物管理。依法取缔不符合产业政策、布局规划、审批手续不全、使用淘汰工艺及设备、污染物排放不达标且治理无望的“散乱污”企业,持续优化涉重产业结构。提高涉重园区规范化管理水平,强化入园项目环境管理,加强环境监测监控预警及应急体系建设,开展已关闭搬迁涉重企业遗留地块排查及修复工作。
四、强化辐射环境安全管理
开展辐射监测与应急能力自评估,制定三年排查实施方案和年检计划,完善全市辐射环境质量监测,增强自动监控能力,加强电磁辐射安全监管,健全核与辐射事故应急体系,增强应急处置能力,辐射事故安全处置率达100%。全面排查整治辐射安全隐患,开展辐射环境安全专项检查活动,开展闲置废弃放射源调查,强化废旧金属熔炼行业监管。积极对接省级核与辐射安全风险综合管理平台,对全市放射源、非密封放射性物质工作场所和射线装置进行分类分级管控。强化辐射安全监管执法能力建设,推进构建企业主体责任和环境监管责任良性互动的综合监管体系。严格按照国家和江苏省辐射建设项目审批的相关规定,进一步规范辖区内辐射建设项目审批备案,做好辐射安全许可证的延续换发。到2025年,确保全市辐射工作单位的辐射安全许可、环评审批、放射性同位素转让审批、放射性同位素转移备案及回收备案率100%。
五、加强环境风险综合防控
强化环境风险源头管控。以重点领域、重点企业的环境风险防控为核心,严格源头管控和监督管理,推动隐患排查整治常态开展,落实重点环境风险企业登记入库,加强动态管理。严控环境风险项目,严格涉水、涉气环境风险源准入,调整不符合生态环境功能定位的产业布局、规模和结构,推进沿海地区、清水通道等重点区域的高污染高风险企业关停或搬迁。开展重点行业重点化学物质生产使用信息调查和环境危害评估,识别有毒有害化学物质,鼓励企业减少环境风险物质的使用,督促企业落实环境风险管理措施,鼓励发展低环境风险的产业,引导逐步淘汰低产值、重污染、重大环境风险行业企业,建立建设项目准入“环保负面清单”,加大低端低效产能企业关闭力度。全面落实《产业结构调整指导目录》中有毒有害化学物质淘汰和限制措施,强化绿色替代品和替代技术推广应用。
健全环境风险防控体系。系统构建事前严防、事中严管、事后处置的全过程风险防控体系,保障生态环境安全。推动集成全市工业园区水气声环境质量、周边环境质量、污染源、运行状态、工况、视频、应急管理监控系统以及环境管理台账等信息,实现智慧化运营和管理。加快推进重点园区突发水污染事件应急防范体系建设,形成全市突发水污染事件应急防范体系建设方案,编制高新区、开发区突发水污染事件应急防范体系建设实施方案,到2023年,开发区、高新区、金属表面中心搬迁安置区建成企业(一级防控)+园区管网(二级防控)+区内河流(三级防控)三级应急防控体系。推进突发环境事件应急预案体系建设,健全市级专项环境应急预案,定期组织环境应急实战演练,鼓励相邻县区联合开展跨区域演练,提升演练实效。建立健全环境应急管理制度和组织体系,加强环境应急队伍建设,完善乡镇、街道、部门间信息共享和协调联动制度,妥善应对跨领域、跨区域污染事件。探索建立全市应急物资管理平台,建立市级环境应急物资储备库紧急调拨机制,实现应急物资信息的共享联动和动态更新。
积极推动新污染物筛查及生态环境及健康管理研究。参照省级指导意见积极开展新污染物筛查试点工作,在水泥、建材等行业开展工业产品添加剂有毒有害物质残留试点监测,对覆膜农田和建筑用地开展土壤微塑料污染研究性监测。积极落实“健康江苏2030”战略,持续开展环境与健康素养提升活动,深入开展环境与健康研究监测,探索通过环境健康综合指数判断环境健康风险等级,更加科学、直观地指导公众健康出行。研究制定环境与健康管理标准、技术规范和政策法规,逐步将环境健康风险纳入生态环境管理制度,推进环境健康风险管理与环境影响评价、排污许可证制度融合。
第七节 实施长效监管,提升治理能力现代化水平
一、健全生态环境多元治理体系
落实党政领导干部职责。海安市党委和政府应承担、落实属地管理责任,统筹做好监管执法、市场规范、资金安排、宣传教育等工作。着眼于环境质量改善,建立健全目标评价考核机制,合理设定约束性和预期性目标。健全生态环境绩效考核和责任追究制度,对生态环境年度目标任务完成情况、生态环境质量状况、资金投入使用情况、公众满意程度等方面开展全方位考核,将其考核结果作为领导班子和领导干部实绩考核评价和奖惩任免的重要依据。以解决突出生态环境问题、改善环境质量、推动经济高质量发展为重点,推进生态环境保护督察,强化监督帮扶,压实生态环境保护责任。
压实企业主体责任。引导企业实施高水平的节能减排和资源环境效率管理,构建以排污许可证为核心的固定污染源监管制度体系,探索综合运用财政政策、货币政策、信用政策引导企业提高治污能力和水平。以电器电子、汽车、旅游业等行业为重点,加快落实生产者责任延伸制度。推广企业绿色发展“领跑者”制度,培育企业绿色发展示范典型,建立绿色企业数据库,推进企业生产服务绿色化,加强源头防治污染,加大清洁生产推行力度,强化全过程管理,探索清洁生产审核制度与排污许可制度相衔接的模式。加强企业环境治理责任制度建设,督促企业自觉遵守生态环境相关法律法规和监督管理制度,组建绿色企业联盟,组织绿色企业培训、沙龙、论坛、对话等活动,推动行业协会和企业自发开展行业环保社会承诺,主动落实生态环境保护责任。实施“绿色伙伴”计划,进一步加强与大型零售、公交、地铁、邮政、银行等受众面比较广、与老百姓生活息息相关的企业合作,发动更多有社会责任感的企业参与生态环境保护。
提高公众参与度。研究制定生态环境保护工作公众参与办法,推进公众参与规范化,动员全市各级党组织和党员积极行动、率先示范,带头组织、带头落实、带头宣传。支持开展生态文明公益活动,积极引导、培育和扶持环保社会组织健康有序发展,促进环保社会组织及社会公众依法、理性、有序参与生态环境保护。丰富生态文化宣教载体,抢占主流媒体舆论高地,进一步打造报刊、电视传统媒体与微博、微信等新媒体的交融平台,打造生态文明展馆与生态文明一条街的立体化阵地。加强宣传攻坚,做好环保公益宣传,广泛开展环境优美乡镇、生态村、绿色社区、绿色学校等环保创建活动,推动生态文明进校园、进社区、进企业,提升公民环保素养。加强舆论监督,鼓励新闻媒体对各类破坏生态环境问题、突发环境事件、环境违法行为曝光。健全环境信息公开制度,拓宽公众参与渠道,完善有奖举报等激励机制和公众听证制度,推进重点实验室、环境监测设施、污水处理设施、垃圾处理设施、危险废物处理设施等向公众开放,引导公众积极参与区域规划和建设项目环境影响评价,有效保障公众的知情权、参与权和监督权。
二、完善生态环境管理体系
健全环境治理监管体系。完善生态环境监管机制,整合相关部门污染防治和生态环境保护执法职责、队伍,统一实行生态环境保护执法。加强司法保障,统一区域环境监督执法标准,规范环境执法程序,加强环境监督执法信息的互联互通。建立污染防治区域联动机制,推进陆海污染联防联治。建立“统一监管、分工负责”的污染物排放监管体系,严格节能评估审查、水资源论证和取水许可制度,实行“谁审批、谁监管”的行政管理机制,建立健全用能权、用水权、排污权、碳排放权有偿使用和危险废物处理收费等制度。探索推行环境污染第三方治理制度,按照“谁排污,谁付费;谁治污,谁收费”的原则,在企业中探索推行“把治污权交给第三方”的管理模式,由专业化治理公司负责污染物达标处理,由环保部门加强对第三方运营单位的监督。
健全环境治理信用体系。建立全市统一的排污企事业单位环保信用评价制度,开展绿色等级评定,落实环保“领跑者”机制,构建公开公正、平行管理、自动评价、每日更新的评价系统,建立信用信息更为广泛便捷的互联共享机制。完善失信联合惩戒机制,优化实施差别价格、差别信贷等措施。完善企业环保信用评价制度,依据评价结果实施分级分类监管。建立排污企业黑名单制度,将环境违法企业依法依规纳入失信联合惩戒对象名单,并依法向社会公开。建立完善上市公司和发债企业强制性环境治理信息披露制度。
健全生态环境市场经济政策。深入推进“放管服”改革,引导各类资本参与环境治理投资、建设、运行,构建规范有序的环境治理市场环境。将生态环境治理、绿色环保产业发展、能源高效利用、资源循环利用作为财政支出的重点领域,健全稳定的投入机制。落实环境保护税、再生水产品增值税返还等优惠政策,扩大生态环保发展基金规模,健全排污权交易制度,推进碳排放权、排污权、用能权等交易,建设市级环境权益交易平台。建立以资源环境绩效为导向的约束激励机制,全面推行工业企业资源环境绩效评价,实行正向激励和反向倒逼。创新和完善污水垃圾处理、节水节能、大气污染治理等价格机制,制定差别化的水、电、燃气等绿色价费政策,加强碳交易市场能力建设。鼓励金融服务创新,大力发展绿色信贷、绿色担保、绿色债券、绿色保险,开展绿色金融改善创新工作。
健全环境治理法规政策体系。制定修订生态环境保护、生态环境监测、清洁生产政策,开展河口、海湾等标准体系研究,形成较为完善的县级生态环境领域法规政策体系。严格执法,对造成生态环境损害的,依法依规追究赔偿责任;对构成犯罪的,依法追究刑事责任。结合海安市实际情况,研究制(修)订一批管理规范、工程规范及实施评估方案。鼓励开展各类涉及环境治理的绿色认证制度,严格执行环境保护税法,贯彻落实环境保护和污染防治相关的税收优惠政策。完善金融扶持,开展排污权交易,研究探索对排污权交易进行抵质押融资。
三、提升生态环境执法能力
优化执法方式。以“执法队伍专业化、执法行为标准化、执法管理制度化、执法流程信息化”为目标,推进执法标准化建设。继续推进“四个常态化”执法检查,围绕危废整治、涉水、涉气企业组织开展交叉执法、专项执法。深入推进“双随机、一公开”环境监管,将重点监管源规范化管理情况纳入污染源日常环境监管随机抽查内容,动态调整污染源信息库,严格规范使用执法平台“双随机”系统。完善差异化监管措施,开展分级分类监管,结合企业具体情况实施“定制式”差别执法,对绿色企业实施应急管控豁免、降低检查频次。落实企业产权保护制度,注重新旧标准衔接,探索开展提醒式执法检查,指导帮助企业解决问题。深入实施“环保总监”管理,严格落实企业主体责任。配合完善“环保脸谱”建设,切实形成政府环境治理、企业自行履责、全民环境监督的现代化环境治理工作闭环。
大力提升“非现场”执法效能。大力推进“非接触式”执法,加快配置废气遥感监测、红外成像仪、微风风速仪等执法取证装备,加强无人机等现代执法手段应用。持续推进“互联网+执法”,完善移动执法系统,全面实现执法全程信息化。加强污染源在线监控设施非现场监管能力建设,落实以自动监控为非现场监管的主要手段,推行视频监控和环保设施用水、用电监控等物联网监管手段,对化工、火电、水泥、印染、电镀等重点行业企业的污染物排放、用电工况等情况实施“非接触”式网上远程监管。深化污染源自动监测数据执法应用,实现监控系统数据异常远程取证,智能识别上传异常时段监控视频,实现污染源自动监控、视频监控、移动执法等数据及群众信访信息的整合研判。到2025年,实现全市排污许可重点管理单位在线监控设施自动校标、同步留样及视频监控设施安装联网全覆盖,实现生产全过程、排污全时段、全天候监控。
大力加强执法联动。常态化开展异地执法检查,加强区域联动力度。探索部门间“随机联查”制度,加强生态环境部门与司法行政机关、公安机关、检察院、法院的沟通协作,强化协同配合、信息共享、案情通报、案件移送、强制执行等工作机制,加强环境执法与刑事司法联动,形成工作合力。推行“环保+警察”办案模式,针对重点排污单位自动监测设施运行情况、危险废物管理情况、重金属排放企业等容易涉刑领域与公安部门开展联合检查,形成打击合力。创新审判执行方式,形成规范高效的“专业化司法监督+恢复性司法实践+社会化综合治理”审判结果执行机制。完善检察机关公益诉讼快检实验室建设,严厉打击资源破坏、环境污染等违法犯罪行为。
四、全面提升监测监管能力
加强自动化能力建设。延伸大气自动监测网络建设,重点加强重要交通枢纽周边大气自动监测站及超级站建设,实现市、乡镇(街道)空气质量自动监测全覆盖,突出重点园区、重点企业空气自动监测,规划2025年底建成微站31个,在省控站点周边现有16个微站(6参数)增加TVOC,增加3公里范围企业监控微站23个,在主城区其他4个街道共设置8个7参数评价微站,将省控站点、区镇自动站、省厅热点网格站点、自建微站数据在同一平台整合,加强数据应用和分析。统筹优化地表水自动监测网络,积极构建“水平衡”监测评估体系,重点加强市县行政交界断面、主要入海河流控制断面、区域补偿断面,以及重点园区、重要港口码头周边水质自动站的建设,加强近岸海域水质监测。到2025年,实现10个地表水国省考断面自动监测全覆盖,入海河流在线监测全覆盖。优化土壤及地下水环境监测网络,根据管理需要补充建设部分监测点位,完善土壤背景点和基础点布局,健全地下水环境监测网络。优化声环境网络布局,实现主城区、主要功能区噪声自动监测全覆盖,重点加强铁路等重要交通基础设施周边的自动监测站建设。建设温室气体监测体系,加强沿海湿地的碳监测。深入推进农村环境质量监测,探索开展典型农田灌溉区进退水通道、畜禽养殖区和水产养殖区周边水体的水质自动监测站建设。
加强污染源全过程监控系统建设。固定源方面,加快构建省级及以上工业园区污染物限值限量监测监控体系,推进排污企业安装和使用在线监测监控设备,以电流监控、工况监控、排污口视频监控等为补充的在线监控体系。到2025年,实现排污许可重点管理单位排污、用能联网监控全覆盖。移动源方面,提高车载远程监控终端的安装覆盖面,实现新出厂车辆安装OBD并与市级监控平台实现联网,加快建设船舶排气超标遥感监测系统,全面开展海安市储油库和年销售汽油量大于2000吨的加油站油气自动监控设备安装与统一联网。农业面源方面,探索建设“天眼”系统,统筹利用自然资源部门视频监控和现有秸秆焚烧监控摄像头,在高铁、高速沿线及重点区域健全露天焚烧监控系统。入河排污口方面,开展城镇生活和工业园区水平衡核算管理,开展全市500吨以上污水集中处理设施进出水口的水量、水质自动监测设备及配套设施安装及联网;推动规模以上入河、入海排污口水质自动监测站建设,实现所有登记入册的规模以上入河排污口水质自动监测全覆盖,全面完成入海排污口的监测溯源。
加强信息化能力建设。用活环境数据“一本账”,运用大数据、5G、云计算、边缘计算等信息技术,系统开展海安市生态环境信息网络新一代智能化基础设施建设,到2025年,实现所有环境监测与监控基础设施5G网络全覆盖。加快建设大数据集成整合处理系统,实现对海量异构数据的标准化抽取、整合、清洗、入库,为数据的进一步创新应用奠定坚实基础。建立完善数据更新与交换共享机制,保障数据利用的可持续性。打造数据分析溯源体系,提升智能化发现能力,强化大数据分析研判,加强生态环境质量时空特征与变化趋势分析、环境污染溯源与风险分析、污染物迁移扩散规律分析等,实现对环境质量、污染源、生态质量监测监控数据的综合应用。深化污染智能溯源应用,发挥“互联网+统一指挥+综合执法”作用,建设生态环境系统指挥调度中心。
五、倡导绿色时尚生活方式
倡导理性绿色的消费模式。推广绿色产品,推行绿色采购,建设绿色消费市场体系。加强绿色产品和服务认证管理,完善认证机构信用监管机制,鼓励开设能效标识产品、节能节水认证产品、环境标志产品、绿色食品和有机食品专柜。严厉打击虚标绿色产品行为,有关行政处罚等信息纳入国家企业信用信息公示系统。倡导理性消费,遏制铺张浪费,对过度消费和浪费实行抑制性收费。执行政府绿色采购制度,逐步将绿色采购制度扩展至企业。倡导居民使用具有环保标识的绿色产品,重点推广高效照明产品、节能节水器具和资源再生产品。到2025年,节能电器普及率达到南通市考核要求,节水器具普及率达到100%。
倡导低碳文明的生活方式。积极倡导低碳文明的绿色生活理念,引导公众形成资源节约、环境友好的生活方式,深入开展绿色机关、绿色学校、绿色医院、绿色社区、绿色家庭等创建工作。广泛宣传推广简约适度、绿色低碳、文明健康的生活理念和生活方式,弘扬勤俭节约的优良传统,建立完善绿色生活的相关政策和管理制度。推进政府机关全面使用节水、节能等设备,进一步推行“无纸化办公”、视频会议等绿色办公方式,引导机关、企事业单位及广大群众争做低碳、环保生活的倡导者和践行者。积极开展节水、节能宣传,推进垃圾分类,推广社区“跳蚤市场”和“换物超市”。推动绿色包装,加强快递包装回收体系建设,推进在快递营业网点设置专门的快递包装回收区。鼓励餐饮行业减少提供一次性餐具,政府机关带头开展“反食品浪费行动”和“文明餐桌行动”。
积极倡导绿色出行。倡导低碳、环保出行,合理控制燃油机动车保有量,大力发展城市公共交通,提升交通系统智能化水平,完善公交出行信息发布机制,推动公众主动减少机动车使用,提高公共交通出行比例。加大绿色出行宣传力度,深入开展“公交出行宣传周”活动,培养市民绿色出行的意识和习惯,推动绿色出行进机关、进企业、进学校、进社区、进家庭、进公共场所,着力营造了解公交、关心公交、支持公交、选择公交的良好氛围。加快城市慢行和公共(共享)自行车(助力车)交通系统建设,加大公共(共享)自行车(助力车)网点优化调整力度,加强日常监管。积极开展绿色出行创建行动,组织实施绿色出行碳积分激励工程,倡导“1公里内步行、3公里内骑自行车、5公里左右乘坐公共交通”的绿色低碳出行方式。“十四五”期间,建设共享电动助力车网点约800个,投放车辆5000辆。
加强绿色教育宣传。积极拓展宣传教育渠道,推进绿色发展知识普及,发挥报刊杂志、广播电视、政府门户网站等传统媒体的主渠道作用,充分利用环保政务微博、社交网络、微信公众号等新媒体,不断创新绿色发展宣传教育形式。结合世界环境日、植树节、绿色发展与我同行等主题活动,不断提高公众的绿色意识。积极推进绿色发展教育进机关、进学校、进企业、进社区、进农村,增强各级领导干部和人民群众的绿色道德意识,促进公众传统行为方式及价值观念逐步向亲近绿色、尊重绿色、保护绿色转型,形成人人自律、全员参与、全民环保的工作体系。
第四章 重点工程
为保证“十四五”时期《规划》各项目标的如期实现,有序推进主要任务的顺利实施,持续改善全市生态环境质量,有力保障群众环境权益,海安市围绕绿色低碳发展、大气环境质量提升、水生态环境质量改善、土壤和农村环境改善、生态系统质量提升、生态环境风险防控、治理能力现代化建设等七大类设计了78项生态环境保护重点工程,合计投资约70.39亿元,以带动全市实现精准治污。重点工程建设资金以政府财政投入为导向,充分发挥市场经济机制,建立多元化、多渠道的投融资体系。重点工程项目汇总见表4.1-1,详细工程项目信息见附表2。
表4.1-1重点工程项目汇总表
类别 | 项目数量(个) | 投资额(万元) |
绿色低碳发展 | 10 | 27315 |
大气环境质量提升 | 12 | 18198.2 |
水生态环境质量改善 | 18 | 500904.59 |
土壤和农村环境改善 | 11 | 51078 |
生态系统质量提升 | 9 | 19330 |
生态环境风险防控 | 7 | 80700 |
治理能力现代化建设 | 11 | 6378.6 |
合计 | 78 | 703904.39 |
第五章 保障措施
第一节 加强组织领导
海安市生态文明建设领导小组统一对全市生态文明建设工作进行综合规划、管理和协调,各区镇有关部门成立相应组织机构,抓工作部署,抓督促检查,形成区委、区政府统一领导,各镇区实施,各部门相互协调,上下良性互动,全社会广泛参与的推进机制。海安市生态文明建设领导小组把生态文明建设纳入制度化、规范化轨道,建立生态文明建设例会制度,主要领导、分管领导定期研究部署污染防治攻坚和环境质量改善等重要问题,将污染防治重点项目列为“月月看、家家到”的必看项目。根据污染防治行业要素,在环委会下设绿色发展、自然资源、大气污染防治、水污染防治、土壤污染防治等11个专业委员会及其办公室,分管市长担任专委会主任,牵头部门主要负责人担任副主任,联合各个职能部门定期开展联合会商、联合执法工作,全市各级各部门牢固树立“一盘棋”思想,各司其职、协同推进。
第二节 加大资金投入
加大财政投入力度,设立绿色发展专项资金,将环境保护投入作为公共财政支出的重点,加大市镇两级财政对环保工作的投入,把生态环境保护建设资金纳入年度财政预算,逐年增加节能减排、低碳发展、生态保护、污染防治和环境基础设施建设等领域的财政投入,确保生态环保支出与社会经济发展相匹配。完善政府引导、市场运作、社会参与的多元投入机制,建立多元化融资渠道,发挥市场机制配置资源的基础性作用,支持生态环境保护项目进行设备融资、发行企业债券、福利彩票和上市融资等。推进生态环境保护建设项目市场化、产业化进程,建立吸引社会资本投入生态环境保护的市场化机制,探索经营性生态项目的特许经营权制度,积极推行PPP治理模式,推行环境污染第三方治理,推进垃圾、污水集中处理和环保设施市场化运作。
第三节 细化评估考核
细化规划实施考核评估机制,把规划目标、重点任务、完成情况纳入各级政府领导班子和领导干部综合考核评价体系和离任审计范围。强化“绿色考核”指挥棒作用,创新对部门和区镇街道的生态文明建设和生态环境保护工作考核方式。对区镇和部门实行差异化考核,督促各部门严格按照责任规定,各司其职、履职尽责,创新开展机关部门服务企业、服务村庄“环保行”活动。针对区镇设置“生态文明建设杯”专项竞赛考核,实施季度考核排名,以考核激励倒逼责任落实。加强对规划执行情况的监督和检查,定期公布重点工程项目进展情况和规划目标完成情况,在2023年底和2025年底,对规划执行情况进行中期评估和终期考核,并依据中期评估结果对规划目标任务进行科学调整。
第四节 完善监督机制
充分发挥中央、省环保督察震慑作用,落实党内监督,强化规划实施监督考核,保障规划有序推进。畅通公众意见反馈渠道,健全举报、听证、舆论监督等制度,积极营造全社会共同关注与监督生态环境保护的良好氛围,充分发挥公众和新闻媒体等社会力量的监督作用,建立规划实施公众反馈和监督机制,完善环境新闻发布制度,建立重大事项舆情发布评估制度。
第五节 强化科技支撑
深入推进科技体制改革,完善生态环境治理体系,推动重点领域项目、人才、资金一体化配置。推行实施企业标准“领跑者”制度和环保“领跑者”制度,鼓励企业、工业园区技术创新和科技进步,推进工业园区的生态化改造。完善技术创新服务体系建设,积极为企业开展技术服务,引导企业采用新技术、新工艺。强化企业创新主体地位,促进各类创新要素向企业集聚,推进产学研深度融合,建立高新技术转化和转让服务基地,发挥政府的行政指导和行政服务职能,促进高新技术合理转化及运用。
第六节 推进铁军建设
开展系统业务培训、挂职锻炼、技能比武等人才培养工作,强化基层队伍能力,加大年轻干部的培育力度,着力培养技术型人才和管理型人才,提高铁军本领。强化生态环境保护学科建设,促进政府、学校、科研院所、优秀企业联动,打造人才高地。做好海安市生态环境保护系统人才规划,合理谋划人员招录调配,推动人才队伍向专业化、高层次发展。加强应对气候变化、海洋、固废和化学品管理、土壤环境监管等人才紧缺领域以及水利、农业农村、林业、气象等政府部门生态环境保护队伍建设。
附表
表1 《海安市“十三五”生态建设与环境保护规划》重点工程完成情况
序号 | 项目类别 | 名称 | 主要内容 | 责任单位 | 投资(万元) | 工程完成情况 | 备注 |
1 | 水环境保护重点工程 | 清水工程 | 完成“清水工程”三年行动方案,建立河道长效管理机制 | 生态环境局 | 11110 | 已完成 |
|
住建局 | |||||||
水利局 | |||||||
2 | 海安县中小河流治理重点县综合整治及水系连通试点工程 | 实施国家中小河流治理重点县综合整治及水系连通试点项目二期3个项目区和三期5个项目区的分区域河网综合整治和水环境治理 | 水利局 | 24000 | 至2020年,二期白甸镇、南莫镇、墩头镇3个项目区已完成,三期曲塘镇、李堡镇2个项目区已基本完成,目前正在实施三期雅周镇、大公镇、角斜镇3个项目区工程,进度已达50%。 |
| |
3 | 水环境保护重点工程 | 骨干河道整治工程 | 逐年进行焦港河(北段)、通扬河(东段)、丁堡河、瓦南河等骨干河道的综合整治 | 水利局 | 28990 | 已完成 |
|
4 | 农村河道轮浚工程 | 轮浚县、乡、村级河道357条354.8公里 | 水利局 | 19700 | 已完成 |
| |
5 | 城郊河道水环境综合治理工程 | 逐年实施完成城郊结合部14条(段)35.8km河道水环境综合治理 | 水利局 | 4800 | 已完成 |
| |
6 | 老坝港经济开发区污水处理厂建设 | 建设一期日处理5000t的污水处理厂一座;建设污水管网26.5km | 滨海新区 | 6000 | 已完成 |
| |
7 | 大气环境保护重点工程 | 锅炉整治工程 | 淘汰小锅炉,控制SO2、NOx排放总量 | 发改委 | 1200 | 已完成 |
|
生态环境局 | |||||||
8 | 城市餐饮油烟污染防治工程 | 餐饮企业和单位食堂必须安装油烟净化装置,确保油烟达标排放 | 生态环境局 | 2000 | 已完成 |
| |
城管局 | |||||||
9 | 扬尘污染防治工程 | 全面推行“绿色施工”,加强城市道路运输扬尘防治,强化渣土、煤炭、水泥等易产生扬尘货物运输车辆管理;加强码头、露天仓库等地装卸作业及物料堆场扬尘防治 | 城管局 | 2000 | 已完成 |
| |
住建局 | |||||||
交运局 | |||||||
建管局 | |||||||
10 | 秸杆综合利用工程 | 深入推进秸秆综合利用,大力推广秸秆粉碎还田技术、秸杆沤堆肥技术,加快秸秆沼气、秸秆气化集中供气、秸秆生物质发电等秸秆能源化利用 | 农业农村局 | 1000 | 已完成 |
| |
11 | 大气环境保护重点工程 | 挥发性有机物治理工程 | 加强挥发性有机物排放企业的环境监管,建立石油化工及涂料、油墨、粘胶剂、喷涂等生产企业重点监管名录,开展强制性清洁生产审核,采取密闭式作业,严格控制工艺过程中逃逸性有机气体的排放。 | 生态环境局 | 800 | 已完成 |
|
发改委 | |||||||
12 | “烟控区”建设工程 | 扩大烟控区范围至主城区与所有工业集中区,主城区全面淘汰燃煤锅炉。进一步拓展延伸城区供热管网,积极推进工业集中区供热中心建设,全面禁止非清洁能源的使用。 | 发改委 | 3000 | 已完成 |
| |
生态环境局 | |||||||
市场监管局 | |||||||
13 | 生态文明建设重点工程 | 工业园区绿化工程 | 全面建设工业园区标准绿化隔离带,实施绿化提升工程 | 各区镇 | 8000 | 已完成 |
|
14 | 绿色海安建设 | 推进以“两沿三园”(即沿路、沿水、工业园区、农业园区、农村家园绿化)绿化建设,全县增加绿化面积2万亩,林木覆盖率稳定在24%以上 | 资规局 | 10000 | 已完成 |
| |
15 | 城乡公共交通体系建设 | 建设智慧交通系统,有序新增公交车辆,实施火车站客运枢纽、雅周客运站、曲塘客运站、老坝港客运站以及首末站标准化、充电桩、公交站亭牌建设 | 交运局 | 8000 | 已完成 |
| |
16 | 公共自行车系统建设工程 | 建设公共自行车系统二期工程,增加1000辆自行车、1500个锁车桩位、35个借车点 | 城管局 | 6000 | 已完成 |
| |
17 | 生态文明建设重点工程 | 生态文明媒体平台建设 | 通过收视(听)率较高的电视、广播电台频道,报道生态文明的基本理念;在报纸上开辟“生态建设”专栏;向各党政机关、企事业单位、学校、科研院所、民间团体及社会大众印发生态文明建设宣传手册;在汽车站、公交车站、市民广场等人流密集的公共场合,设置一定比例的生态文明公益广告。 | 生态环境局 | 100 | 已完成 | 融媒体中心已完成(64万) |
融媒体中心 | |||||||
18 | 工业污染全防全控重点工程 | 精细化工园区转产转型工程 | 按照“全面整治、分类处置、整体转型”的工作思路,对精细化工园区内的化工企业实施转产转型 | 发改委 | 100000 | 已完成 |
|
19 | 节能环保产业建设工程 | 确立大气污染、水污染、固废处理处置技术及装备和环保治理设施运营服务为发展重点,增强环保治理设施运营服务产值带动。重点发展垃圾秸秆焚烧及综合利用设备、污水处理设备、脱硫脱硝设备、大型除尘设备,培育发展环保自动化控制、关键精密测试测量分析等环境监测设备 | 生态环境局 | 2000 | 已完成 |
| |
发改委 | |||||||
20 | 静脉产业补链工程 | 以高新区、城东镇为基础,根据区内行业结构现状,有目的地引进环保企业、电子废品、金属废品、包装材料回收企业等,对原有企业的技术升级等 | 生态环境局 | 2000 | 已完成 |
| |
发改委 | |||||||
开发区 | |||||||
高新区 | |||||||
21 | 工业生态与环境风险防范工程 | 完善工业环境风险源档案库,建立全县环境风险监控网络 | 生态环境局 | 1000 | 已完成 |
| |
各区镇 | |||||||
22 | 固体废物污染控制重点工程 | 固体废物处置工程 | 建成海安危废焚烧填埋一体化项目、建筑垃圾资源化利用项目和城区100吨/日餐厨垃圾处置项目 | 生态环境局 | 20000 | 已完成 |
|
城管局 | |||||||
23 | 生活垃圾分类处置工程 | 开展垃圾分类试点,逐步建设分类投放、分类运输、分类处置和资源回收利用的生活垃圾管理作业体系 | 城管局 | 3000 | 已完成 |
| |
生态环境局 | |||||||
24 | 生态与农村环境保护重点工程 | 农业废弃物资源化利用工程 | 推广畜禽粪污综合利用技术模式,规范和引导畜禽养殖场做好养殖废弃物资源化利用和无害化处理。加快推进秸秆综合利用的规模化、产业化发展,基本解决秸秆露天焚烧问题 | 农业农村局 | 1000 | 已完成 |
|
25 | 农村面源污染控制工程 | 坚持减量控害,实施农药、化肥零增长行动,坚持综合施策,着力解决农田残膜污染 | 农业农村局 | 2000 | 已完成 |
| |
26 | 环境监管能力建设重点工程 | 智慧环保建设工程 | 建设海安县生态环境监控中心 | 生态环境局 | 680 | 已完成 |
|
表2 《海安市“十四五”生态建设与环境保护规划》重点工程
类型 | 序号 | 项目名称 | 建设内容、规模 | 建设年限 | 计划总投资(万元) | 责任单位 |
绿色低碳发展 | 1 | “三线一单”管控方案编制 | 编制海安县级“三线一单”管控方案,明确全市69个园区污染物排放、资源能源消耗、环境质量改善、项目准入要求 | 2021 | 55 | 生态环境局 |
2 | 资源循环利用产业园建设工程 | 以海安市城市废弃物处理处置设施为核心,同步设置各类资源再生利用设施。在产业园内构建“三个领域、三个循环、一个示范工程”的建设框架,实现海安城市废物全量进入+能量多级利用+资源优化利用+污染物、碳和废弃物近“零排放”的目标,打造国家级资源循环利用示范园区、国内示范的循环产业园区、绿色环保生活示范园区、可持续性发展宣教示范园区 | 2021~2025 | 20000 | 发改委、生态环境局、开发区 | |
3 | 水资源节约配置高效利用工程 | 省级节水载体创建,省级节水型学校2个,每个10万元,省级节水型单位2个,每个5万元;市级节水载体创建,每年创建5个,每个4万元;节水技术推广、合同节水;用水单位规范化管理;水资源管理规范化 | 2021~2025 | 680 | 水利局 | |
4 | 农业综合水价改革 | 精准补贴和节水奖励专项资金,每年200万元。完成农业水价综合改革收尾工作。完善农业水价改革四项机制,规范已建农民用水户协会的功能定位、服务范围、管理机制,农民用水户协会培训;积极探索镇、村党组织领办农民用水户协会模式 | 2021~2025 | 1000 | 水利局 | |
5 | 工业节水重点项目 | 完成10家企业水平衡测试,完成5个省级节水减排示范项目,争取创建省级节水型企业2家,争创一个省级节水型工业园区 | 2021~2025 | 2220 | 水利局 | |
6 | 城镇生活节水重点项目 | 创建2个省级节水型小区,2个省级节水型学校和2个省级节水型单位,开展海安城区供水管网改造提升工程 | 2021~2025 | 2560 | 水利局 | |
7 | 共享单车推广项目 | 2021年在城区范围内设置500个共享电动车停车点位,投放5000辆电动车 | 2021 | / | 城管局 | |
绿色低碳发展 | 8 | 绿色出行倡导工程 | 政府采取有效的鼓励措施和宣传模式,引导更多的人参与到“绿色出行方式”的活动中。设定专门的无车日和公交周,鼓励购买小排量、新能源等环保车型。 | 2021-2025 | 100 | 生态环境、财政局 |
9 | 碳排放交易试点工程 | 实施碳排放权交易试点 | 2021-2025 | 500 | 发改委 | |
10 | 近零碳排放区示范工程 | 积极实施近零碳排放区示范工程,编制温室气体排放清单,加快制定全市二氧化碳排放达峰行动方案,鼓励有条件园区率先开展园区碳达峰行动方案试点 | 2021-2025 | 200 | 发改委、生态环境局 | |
大气环境质量提升 | 11 | 海安市工业NOx治理工程 | 1.海安华新热电有限公司、江苏联发环保新能源有限公司、南通常安能源有限公司等企业工业NOx治理,海安天楹环保能源有限公司提标改造; | 2023~2025 | 4900 | 生态环境局 |
12 | 海安市锅炉提标改造工程 | 南通龙洋水产有限公司、江苏江山红化纤有限责任公司、南通裕弘服装有限公司、南通中菱电力科技股份有限公司天然气锅炉低氮改造 | 2021~2022 | 300 | 生态环境局 | |
大气环境质量提升 | 13 | 海安市VOCs污染治理工程 | 1.南通晓星变压器有限公司、凯琦森家具海安有限公司、常春居家具海安有限公司、福运门国际家具海安有限公司、江苏青舟木业有限公司、江苏安瑞钢结构有限公司、南通铁军机械有限公司、君致家具海安有限公司、南通万事达建设工程有限公司、江苏摩品木业有限公司、南通爱利特机电制造有限公司、南通协兴机械有限公司、江苏明江阀业有限公司、江苏融通阀门机械有限公司、南通口木车件有限公司、南通双美澳澜木业有限公司、南通昆榕木业有限公司、南通盛品建设工程有限公司、江苏华兴压力容器有限公司、江苏兰菱机电科技有限公司等企业低VOCs清洁原料替代; | 2021~2025 | 2900 | 生态环境局 |
14 | VOCs走航监测项目 | 开展VOCs走行监测,每年约80万 | 2021~2025 | 400 | 生态环境局 | |
15 | 大气“绿岛”废活性炭集中脱附中心建设项目 | 采用热脱附氮保护工艺进行活性炭脱附再生,脱附后的活性炭再回用于企业废气处理 | 2021 | 3500 | 绿水青山环保科技海安有限公司 | |
大气环境质量提升 | 16 | 加油站储油库油气回收治理工程 | 开展加油站油气回收污染评估,推广加油站三次油气回收设施安装工作,2022年底前完成10000吨以上加油站三次油气回 | 2021~2022 | 2000 | 商务局 |
17 | 海安市雾炮车能力提升项目 | 在10个区镇至少各配齐1辆雾炮车 | 2021 | 500 | 国有资本运营集团 | |
18 | 海安市施工工地扬尘一体化在线监控建设项目 | 利用物联网感知、数据无线通讯、视频监控行为分析、数据库和地理信息系统等先进技术、集数据采集、数据传输与视频字符叠加为一体,实时把现场采集到的养出个分数据、施工是否规范等信息实时上报云平台 | 2021 | 180 | 国有资本运营集团 | |
19 | 餐饮油烟污染监管工程 | 开展餐饮单位规范性整治,规范设置油烟排放口、规范安装 | 2021~2022 | 1000 | 城管局 | |
20 | 汽修行业“绿岛”试点工程 | 2025年前,完成一个汽修行业“绿岛”试点工程建设。 | 2021-2025 |
| 生态环境局 | |
21 | 秸秆综合利用项目 | 实施秸秆饲料化、纤维化、能源化以及离田收储利用 | 2021 | 2018.2 |
| |
22 | 无人机巡查项目 | 海安市境内秸秆乱抛、禁烧现场进行无人机巡查 | 2021~2025 | 500 | 生态环境局 | |
水生态环境质量改善 | 23 | 海安市三里闸应急水源地一级保护区综合整治项目 | 引水泵站、护岸、河道清淤、河道绿化及整坡、陪建泵站及接管等工程施工 | 2021 | 4500 | 水务集团 |
24 | 断面综合整治工程 | 向阳桥省控断面建设农田退水导流沟、沿线支流建设闸控、沿线及支流居民生活污水治理,支流综合整治等;对北凌河沿线地区开展污染整治及河道整治,通过整治,使北凌河入海口断面水质显著改善;新通扬运河朱楼桥、通榆河梁一大桥、栟茶运河袁庄水站、丁堡河李堡东桥、通扬河南新桥、串场河东湖桥断面实施综合整治(农田退水导流、生态缓冲带建设、居民生活污染、支流、环境整治) | 2021~2025 | 11335 | 水利局、各区镇 | |
25 | 海安市鹰泰水务二期扩建工程 | 在一期工程2万吨/日污水处理量基础上扩建2万吨/日,共4万吨/日污水处理量 | 2021~2025 | 15000 | 住建局、高新区管委会、水务集团 | |
26 | 海安市城市污水处理有限公司污水厂扩建工程 | 由2.5万吨/日扩建至4.9万吨/日,污水厂湿地提标改造 | 2021~2025 | 16100 | 水务集团 | |
27 | 管道检测溯源及改造工程 | 根据“333”行动,提质增效达标区A-I区域小区单位管道检测溯源及改造工程 | 2021~2025 | 34000 | 住建局、水务集团 | |
28 | 海安市城镇污水管网建设及雨污分流改造工程 | 在海安市城区和10个区镇开展污水管网建设200公里,改善和提高北凌河、栟茶运河等入海河流沿线地区的污水收集能力。对富安梁一大桥考核断面汇水范围内2个老旧小区开展雨污分流改造,配套建设管网1km;完成全市8个安置房小区雨污分流 | 2021~2025 | 45000 | 住建局 | |
29 | 常安水务集中预处理及中水回用项目 | 新增1.5万吨/日集中预处理工程和3.75万吨/日中水回用工程 | 2021~2022 | 15000 | 住建局、开发区管委会 | |
水生态环境质量改善 | 30 | 非传统水源利用 工程 | 在现有海安中洋现代城、江苏鹰球集团雨水利用示范项目基础上,结合“海绵”城市建设、老旧小区、城中村改造以及城市居民小区建设,实施雨水收集利用示范项目3项。结合老坝港滨海新区建设,建设海水利用示范项目,海水主要用于新区城市杂用水。以海安城北和恒发污水处理厂为基础,结合区域再生水利用条件,建设城市污水处理厂达标尾水再利用工程,达标尾水主要用于农业灌溉、城市绿化、市政环卫、生态景观以及建筑施工等方面。 | 2021~2025 | 10500 | 住建局 |
31 | 农业污染控制及 治理 | 推广农作物测土配方施肥技术,到2025年,农作物测土配方施肥技术覆盖率达到90%以上;在全市10个城镇选择部分村开展残留农膜回收利用示范,建立回收、处置管理体系;推进规模化养殖场粪污处理及综合利用;推广标准化养殖,到2025年,力争创建1个国家级“标准化养殖场”和2~5个左右省“生态健康养殖示范场”;开展池塘养殖尾水达标排放试点 | 2021~2025 | 3650 | 农业农村局 | |
32 | 高标准农田建设 项目 | 推进17.92万亩高标准农田建设,其中开发区建设1.7万亩,大公镇建设1.19万亩,高新区建设2.31万亩,李堡镇建设0.13万亩,南莫镇建设2.07万亩,白甸镇建设1.43万亩,曲塘镇建设2.42万亩,雅周镇建设1.5万亩,滨海新区建设1.95万亩,墩头镇建设3.22万亩 | 2021~2025 | 53760 | 农业农村局 | |
33 | 红星灌区节水配套改造与提档升级 项目 | 改造贲家集一号泵站;新建(拆建)衬砌骨干灌溉渠道76条69.16km,改造骨干衬砌灌溉渠道13条21.85km;新建铸铁灌溉管道1条长1.5km。疏俊骨干排水沟35条,长度27km;生态恢复(包括疏浚和护岸绿化)骨干排水沟22条段长31.27km,生态护砌骨干排水沟26条段长 | 2021~2025 | 41896.61 | 农业农村局 | |
水生态环境质量改善 | 34 | 新通扬灌区调整 工程 | 以骨干灌排渠系为边界,对面积较小的圩区进行联圩并圩。新建骨干引水河道1375条合计521km,其中衬砌骨干灌溉河道931条长407.1km;改造骨干衬砌灌溉河道170条72.13km,生态恢复29条段23.2km;灌溉河道基本为混凝土暗管。疏浚骨干排水河道90条,长度40km;生态恢 | 2021~2025 | 105051.6 | 农业农村局 |
35 | 农田退水生态净化项目 | 1.新建防渗明渠1413米、暗渠246米、生态排水系统1960米、PE管道4608米,沼液一体化装置及农田排水循环回收利用装置各3套,涉及农田2000亩; | 2021 | 6800 | 市农业农村局 | |
36 | 区域治水畅流活水工程 | 科学合理分区编制海安区域治水畅流活水总体方案;先行在水利基础条件较好的1、3、4小片区实施,总面积约260km2,再在其他区域合理规划实施,力争“十四五”期间实现海安全区域治水畅流活水。 | 2021~2025 | 25200 | 水利局 | |
水生态环境质量改善 | 37 | 排污口整治 | 完成通扬河、新通扬河、通榆河、焦港河、北凌河、栟茶运河、如海运河7条一级河道排污口排查、监测、溯源、整治;根据2019年开展的入海排污口专项排查成果,全面完成45个入海排污口监测、溯源、整治工作,建立“权责清晰、监控到位、管理规范”的入海排污口监管体系 | 2021~2025 | 135 | 生态环境局、各区镇 |
38 | 周济河等多条河流生态综合整治工程 | 完成城区周济河、盲肠河、联发路北侧沟塘、翻身河、通扬运河、小焦港等约9条河道的生态环境提升工程,包括拆迁清障交地、护岸整治、河坡整治、绿化施工、河道整治等工程 | 2021~2022 | 13000 | 住建局 | |
39 | 堑南小流域治理 工程 | 选取堑南小流域作为试点,进行小流域重点工程建设,以生态河湖治理为基础,加强生态修复、水源涵养,构建生态与景观并行的水网与路带 | 2021~2025 | 900 | 水利局 | |
40 | 生态样本河道打造 | 市本级每年打造生态美丽河道不少于6条,各区镇每年打造生态样本河道不少于10条。疏浚整治农村各级河道400条,整治县乡河道108条,疏浚土方380.64万m3,实施清障工程832处;新建河道护岸750.35km,其中纯植物防护134.11km,密排木桩护岸569.48km,涵管挡土墙护岸15.96km,桩板式护岸20.8km。新增植树造林15.13万株,新增岸坡绿化面积98.5万m2;堤防加固4.8km;新建景观节点42处。一二级及三级通航河道日常保洁;三、四级不通航河道“以河养河、生态保洁”。 | 2021~2025 | 99076.38 | 水利局 | |
土壤和农村环境改善 | 41 | 土壤调查评估项目 | 对海安县凯旋助剂厂地块、江苏新益佳皮革有限公司地块、南通长发化工有限公司(原海安县新发化工厂)地块、海安力宝化工厂地块、原金麦粉业有限公司地块、海安县化学试剂厂地块、原海安县益兴特钢制品有限公司地块、原江苏海光照明电器有限公司地块、原海安县国力化工有限公司地块等地块开展调查评估 | 2021 | 55 | 各区镇、生态环境局 |
土壤和农村环境改善 | 42 | 建设用地土壤污染风险管控与修复 工程 | 在污染地块数量多的区域,以无责任主体或责任主体灭失,用途变更为住宅、公共管理和公共服务用地的污染地块为重点,实施一批建设用地土壤污染状况调查及风险评估、风险管控与修复工程。 | 2021-2025 | 5000 | 生态环境局、自然资源与规划局、农业农村局 |
43 | 耕地土壤安全利用与修复工程 | 根据耕地质量划分结果,分类实施耕地土壤修复工程。 | 2021-2025 | 5000 | 农业农村局生态环境局 | |
44 | 地下水源地保护 | 保留深井需进行标准化改造和管道维修工作,每眼井预算5万元,累计投资205万元 | 2021~2025 | 205 | 水利局 | |
45 | 范雪琴潜井地下水点位达标整治 | 范雪琴潜井地下水点位达标整治 | 2021 | 18 | 生态环境局 | |
46 | 地下水重点污染源调查评估工程 | 针对“一企一库”“两场两区”等六类地下水重点污染源,实施地下水生态环境状况调查评估工程。 | 2021-2025 | 200 | 生态环境局 | |
47 | 地下水污染防治工程 | 开展垃圾填埋场、化学品生产企业、工业集聚区(以化工产业为主导)地下水污染防渗改造工程,实施无主废弃钻井、矿井封井回填工程 | 2021-2025 | 1000 | 生态环境局 | |
48 | 重点污染源地下水风险管控和修复工程 | 开展重点污染源地下水风险管控和修复工程,实施重点区域工业集聚区(以化工产业为主导)和危险废物处置场地下水污染风险管控工程、地下水污染修复工程 | 2021-2025 | 2000 | 生态环境局、水利局 | |
49 | 海安市农村污水收集与处理工程 | 实施农村生活污水处理设施及管网建设,覆盖1.7万农户。对已建农村生活污水治理设施进行全面梳理排查,建立问题清单。 | 2021~2022 | 19200 | 生态环境局、相关镇政府 | |
50 | 农村黑臭水体整治工程 | 计划整治海安市农村黑臭水体38条,长度52km,其中滨海新区1条、曲塘镇2条、李堡镇2条、大公镇7条、南莫镇3条、胡集街道3条、隆政街道6条、海安街道1条、雅周镇1条、孙庄街道3条、开发区9条。 | 2021~2025 | 12000 | 水利局 | |
51 | 农村厕所革命 | 对未改造过的农村户厕按照无害化厕所的标准进行改造,对于已改户厕有问题不能正常使用的进行修缮。“十四五”末全面建成无害化卫生户厕,全面消除旱厕 | 2022~2025 | 6400 | 农业农村局 | |
生态系统质量提升 | 52 | 国土空间规划体系建设 | 以主体功能区规划为基础,编制完成并落实国土空间总体规划,完成三条控制线划定和落地。构建城市空间规划体系,实行覆盖全市域城乡一张蓝图严格管控;建立海安市“多规合一”空间规划信息平台 | 2021~2025 | 100 | 自然资源和规划局 |
53 | 生态红线和自然保护地勘界定标工程 | 根据部、省统一部署,组织开展生态保护红线评估调整工作,待红线方案批准后,根据部、省有关技术规范,组织各地做好生态保护红线勘界定标工作 | 2021~2023 | 80 | 自然资源和规划局、生态环境局 | |
54 | 建设自然生态修举试验区工程 | 在沿海区域生态脆弱、敏感的县或乡镇开展自然生态修举试验区建设,科学划定区域内河流、水库、林木等生态脆弱区域,建立南通市(海安)自然生态修复行为负面清单。 | 2021-2025 | 100 | 生态环境局 | |
55 | 里下河重要湿地保护与修复 | 实施里下河重要湿地生态清淤、护岸、景观湿地建设,浅水区栽种适宜的挺水、浮水和沉水植物等,依托里下河湿地公园,完善里下河湿地保护与修复 | 2021~2025 | 10000 | 住建局 | |
56 | 清水通道维护区保护与修复 | 实施清水通道底泥进行清淤疏浚、岸坡一定范围内种植涵养林、建设生态护岸、适宜的水深范围内种植水生植物等,新通扬-通榆河及焦港河清水通道维护区工程,投资分别为2000万和800万 | 2021~2025 | 2800 | 水利局 | |
57 | 梁一大桥汇水范围生态缓冲带建设 | 大公镇建设生态缓冲带2千米、南莫镇朱楼村建设生态缓带2.5千米。 | 2021~2025 | 1600 | 生态环境局、大公镇、南莫镇 | |
58 | 北凌新闸/小洋口汇水范围生态缓冲带工程 | 北凌新闸/小洋口汇水范围内北凌河等河道建设生态缓冲带20km | 2021~2025 | 2000 | 滨海新区、李堡、大公镇、开发区 | |
59 | 河道堤岸岸线维修管护 | 河道堤岸岸线维修管护 | 2021~2025 | 2500 | 海安市水利局 | |
60 | 上湖创新区中意海安生态园建设 | 实施河湖生态景观工程,规划建设五大功能区和八大核心景观区。实施湖面整治工程,构建生态护岸、水量平衡、水系循环三大系统。 | 2022~2024 | 150 | 海安市水利局 | |
生态环境风险防控 | 61 | 固废处置项目 | 南通紫石固废处置有限公司一期处理规模为100t/d(含水率80%)+200t/d(含水率60%)污泥 | 2021~2022 | 14000 | 南通紫石固废处置有限公司 |
62 | 危险废物焚烧、危险废物填埋、危险废物资源化 | 新建一条危险废物焚烧生产线,处理能力3万吨/年,新建一座刚性填埋场,填埋能力为2万吨/年;新建一座废盐资源化装置,处理能力0.25万吨/年 | 2021~2025 | 45000 | 上海电气南通国海环保科技有限公司 | |
63 | 医疗废物等离子体气化熔融处置项目 | 医废处理能力730吨/年 | 2022~2024 | 2000 | 江苏天楹等离子体科技有限公司 | |
64 | 危险废物铝灰渣处置利用项目 | 10万吨危险废物(铝渣、灰)资源化综合利用项目,生产合金铝、高温氧化铝及工业氨水等产品 | 2022~2025 | 16000 | 南通海江铝业科技有限公司 | |
65 | 海安东部家具城危废收存转运中心、活性炭脱附再生利用中心项目 | 危险废物暂存库1幢,废活性炭脱附再生线2条、活性炭堆放库1幢、废弃处理设施2套 | 2021~2023 | 3500 | 绿水青山环保科技有限公司 | |
66 | 重点监管企业隐患排查工程 | 开展在产企业防渗漏、重金属减排以及历史遗留废渣整治 | 2021~2025 | 100 | 生态环境局 | |
67 | 环境风险控制工程 | 以重点流域、重点领域、重点企业的环境风险防控为核心,排查一批重点环境风险源,治理一批突出环境风险隐患,关闭一批违法违规设施,严格源头管控和监督管理,加强风险防控能力建设,系统构建事前严防、事中严管、事后处置的全过程风险防控体系保障生态环境安全 | 2021~2025 | 100 | 生态环境局、应急管理局 | |
治理能力现代化建设 | 68 | 省控海安三角洲大气自动站仪器设备更新 | 省控海安三角洲大气自动站仪器设备更新 | 2021~2023 | 110 | 生态环境局 |
69 | 噪声环境自动监测能力建设 | 新建7个功能区噪声自动监测站(仪器设备等);城市区域环境噪声、城市交通干线噪声及功能区噪声点位优化调整方案编制论证 | 2021~2023 | 210 | 生态环境局 | |
70 | 水资源管理信息化系统 | 水资源管理信息化系统:系统建设150万元,每年运维20万元,计250万元。 | 2021~2025 | 250 | 水利局 | |
71 | 水质自动站建设 | 丁堡河东风桥、丁堡河李堡东桥、丁堡河李堡南闸、东姜黄河高湾大桥、瓦南河353省道桥、海溱河邓双桥、海溱河千步大桥、海溱河贲茆庄桥、栟茶运河许五子桥、通扬运河崔母大桥、东西红星河红旗桥水质自动站建设(站房建设、水质自动分析仪系统) | 2021 | 990 | 生态环境局、水务集团 | |
72 | 水质自动站搬迁 | 备用水源地水质自动站搬迁、串场河东湖桥水质自动站搬迁 | 2021 | 120 | 海安生态环境局、海安市水务集团 | |
73 | 入海河流在线监测 | 推动剩余9条入海河流建设在线监测系统,实现入海河流在线监测系统全覆盖 | 2021~2022 | 1300 | 生态环境局 | |
74 | 地下水环境监测网络建设 | 进一步健全地下水环境监测防控体系,建立重点监管企业和工业园区周边土壤和地下水监测监控网络,有条件的地区先行试点自动监测 | 2021~2023 | 300 | 生态环境局 | |
75 | 海安市码头污染防治监控系统 | 在栟茶运河、通榆河、串场河等河流的10个码头建设污染防治高清监控系统,提高入海河流污染监管的水平 | 2021 | 20 | 交通运输局 | |
76 | 海安经济技术开发区监测监控能力提升项目 | 根据工业园区限值限量管理要求,完善环境质量监测监控能力,建设综合监管信息化平台 | 2021~2023 | 1500 | 开发区 | |
治理能力现代化建设 | 77 | 海安经济技术开发区常安纺织技术产业园综合监管信息平台 | 将工艺、环保、安全、信息等多种技术进行有效整合,形成一个涵盖监测监控、事故应急、污染治理的大数据云系统 | 2021 | 978.6 | 南通常安现代纺织工业园区开发有限公司 |
78 | 监测站实验室自动化程度及监测能力提升项目 | 结合监测站站房搬迁,改善站房条件,更新监测站相关仪器设备,配备满足现代监测要求的大型环境分析仪器;拓展提升土壤、地下水监测监控能力。 | 2021-2025 | 600 | 生态环境局 |
附图
附图1 海安市行政区划图

附图2 海安市水系图

抄 送:市委各部门、各直属单位,市人大常委会办公室,市政协
办公室,市法院、检察院,市人武部,市各人民团体。
海安市人民政府办公室 2022年5月 日印发